| 查看: 1293 | 回复: 4 | |
[求助]
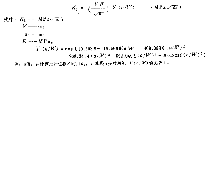
请教WOL试样测定应力强度因子的方法
|
|
![]() |
|
|
|
|
![]() |
|
|
2楼2011-10-07 15:31:57
|
|
|
3楼2011-10-08 10:13:04
|
|
|
4楼2011-10-08 10:15:11
|
|
|
5楼2018-07-05 10:50:09
|
|














回复此楼
10