| 查看: 2565 | 回复: 7 | ||
Moon8808木虫 (著名写手)
|
[求助]
紧急求助!!!!怎样用matlab编动态断裂应力强度因子的计算程序
|
|
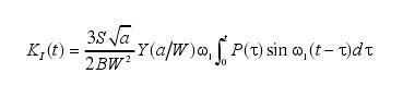
matlab菜鸟,对这东西真不懂啊,请教各位高手 怎样用matlab编动态断裂应力强度因子的计算程序 现在已经有了P(t)的数据,如附件,计算出的K(t)也在附件图中,应力强度因子的计算公式也可见附件, 各位高手一定帮帮忙啊 能够帮助解决问题的,事后必有重谢! ![]() 数据图 公式图 |
» 猜你喜欢
287求调剂
已经有5人回复
22408 344分 求调剂 一志愿 华电计算机技术
已经有3人回复
289求调剂
已经有3人回复
317求调剂
已经有10人回复
广西大学家禽遗传育种课题组2026年硕士招生(接收计算机专业调剂)
已经有3人回复
学校已经提交到NSFC,还能修改吗?
已经有8人回复
08工学调剂
已经有5人回复
281求调剂(0805)
已经有25人回复
085600材料与化工
已经有6人回复
265求调剂
已经有8人回复
» 本主题相关价值贴推荐,对您同样有帮助:
请问大神们,与应力成45度角的断裂学术上称为什么断裂?感谢感谢!!
已经有7人回复
急!求计算理论剪切应力的方法
已经有4人回复
急求Lingo程序!
已经有3人回复
谁会matlab 急求帮助!!!!
已经有11人回复
急求一本matlab面向对象编程的书籍,针对2012版本的matlab
已经有3人回复
计算应力强度因子时,试样载荷受力的单位是什么?兆帕?帕?还是其它?
已经有4人回复
应力强度因子Kic的重要性是什么
已经有23人回复
求助:黄曲霉毒素测定过程有哪些需要特别注意的地方?
已经有6人回复
matlab 中能不能进行矢量间的点乘和叉乘
已经有3人回复
求助小裂纹模拟软件或者如何模拟
已经有11人回复
雅思考6分,该不该在申请材料中说啊,还是干脆说没有语言成绩?
已经有4人回复
请教WOL试样测定应力强度因子的方法
已经有4人回复
【求助】基于J积分的ANSYS应力强度因子三维有限元计算方法
已经有6人回复
【求助】sybyl7.3运行./lmgrd triposlm报错!急求指点!
已经有3人回复
Moon8808
木虫 (著名写手)
- 应助: 38 (小学生)
- 金币: 1959.2
- 散金: 1060
- 红花: 23
- 沙发: 1
- 帖子: 1037
- 在线: 254.9小时
- 虫号: 1714284
- 注册: 2012-03-24
- 专业: 环境化学
2楼2012-07-02 21:55:38
3楼2012-07-03 01:48:17
|
4楼2012-07-03 08:13:26
![]() |
5楼2012-07-03 08:13:37
youyouxiong
新虫 (小有名气)
- 应助: 8 (幼儿园)
- 金币: 4973.8
- 散金: 60
- 红花: 2
- 帖子: 290
- 在线: 432.4小时
- 虫号: 1208839
- 注册: 2011-02-22
- 专业: 心理学史
6楼2012-07-08 14:52:52
youyouxiong
新虫 (小有名气)
- 应助: 8 (幼儿园)
- 金币: 4973.8
- 散金: 60
- 红花: 2
- 帖子: 290
- 在线: 432.4小时
- 虫号: 1208839
- 注册: 2011-02-22
- 专业: 心理学史
7楼2012-07-08 15:21:12
forhappy
新虫 (正式写手)
- 应助: 2 (幼儿园)
- 金币: 1093.2
- 散金: 20
- 红花: 1
- 帖子: 313
- 在线: 147.9小时
- 虫号: 1433094
- 注册: 2011-10-09
- 性别: GG
- 专业: 固体力学
8楼2014-05-20 11:20:00














回复此楼

