| ²é¿´: 1048 | »Ø¸´: 5 | ||
likeweid½ð³æ (ÕýʽдÊÖ)
|
[ÇóÖú]
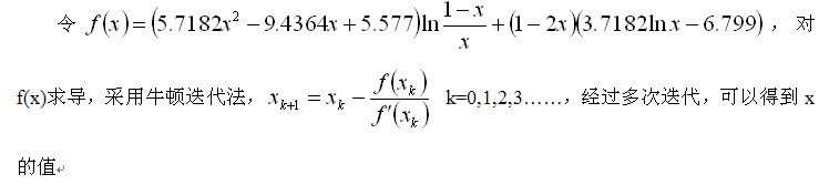
ÖØ½ðÇóMatlab¼ÆËãÒ»¸ö¼òµ¥µÄÎÊÌâ
|
|
|
|
||
wmc_1979½ð³æ (СÓÐÃûÆø)
|
¡¾´ð°¸¡¿Ó¦Öú»ØÌû
likeweid(½ð±Ò+200): 2011-09-25 18:55:52
|
|
|
2Â¥2011-09-24 22:36:08
|
|
|
likeweid½ð³æ (ÕýʽдÊÖ)
|
||
|
3Â¥2011-09-25 18:39:39
|
|
|
likeweid½ð³æ (ÕýʽдÊÖ)
|
||
|
4Â¥2011-09-25 18:42:17
|
|
|
likeweid½ð³æ (ÕýʽдÊÖ)
|
||
|
5Â¥2011-09-25 18:47:48
|
|
|
wmc_1979½ð³æ (СÓÐÃûÆø)
|
||
|
6Â¥2011-09-25 18:48:03
|
|














»Ø¸´´ËÂ¥