| ²é¿´: 1372 | »Ø¸´: 9 | ||
sunshinexyÒø³æ (СÓÐÃûÆø)
|
[ÇóÖú]
½âÆ×½âµÄÍ·ÌÛÁË£¬Çë¸ßÊÖ°ïæ¿´¿´
|
|
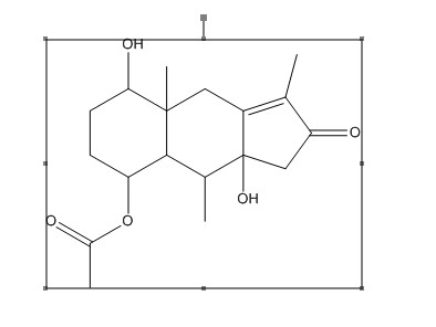
-MS 323.1Ϊ×îÇ¿·å -MS2 281.0Ϊ×îÇ¿·å лл¸÷룬¸Ð¼¤²»¾¡£¡ |
» ²ÂÄãϲ»¶
081700£¬311£¬Çóµ÷¼Á
ÒѾÓÐ15È˻ظ´
Ò»Ö¾Ô¸±±¾©»¯¹¤085600 310·ÖÇóµ÷¼Á
ÒѾÓÐ18È˻ظ´
085600²ÄÁÏÓ뻯¹¤301·ÖÇóµ÷¼ÁԺУ
ÒѾÓÐ4È˻ظ´
²ÄÁÏÓ뻯¹¤371Çóµ÷¼Á
ÒѾÓÐ14È˻ظ´
336²ÄÁÏÓ뻯¹¤085600Çóµ÷¼Á
ÒѾÓÐ7È˻ظ´
²ÄÁÏ334Çóµ÷¼Á
ÒѾÓÐ18È˻ظ´
331Çóµ÷¼Á
ÒѾÓÐ8È˻ظ´
332Çóµ÷¼Á
ÒѾÓÐ17È˻ظ´
Ò»Ö¾Ô¸ÄϾ©º½¿Õº½Ìì´óѧ ²ÄÁÏÓ뻯¹¤329·ÖÇóµ÷¼Á
ÒѾÓÐ4È˻ظ´
²ÄÁÏר˶322
ÒѾÓÐ7È˻ظ´
» ±¾Ö÷ÌâÏà¹Ø¼ÛÖµÌùÍÆ¼ö£¬¶ÔÄúͬÑùÓаïÖú:
ºË´Å/ÖÊÆ×½âÆ×¸ßÊÖ°ïæ¿´¿´Õâ¸ö»¯ºÏÎï½á¹¹Ôõô½âÎö
ÒѾÓÐ12È˻ظ´
Çó¸ßÊÖ°ïæ½âÎöÕâ¸öÇâÆ×£¬¿´¿´ÓÐûÓбØÒª×öÉýκ˴ţ¿
ÒѾÓÐ12È˻ظ´
¡¾ÇóÖú¡¿:ÇâÆ×̼Æ×deptÆ×ͼÆëÈ«£¬Íû¸ßÊÖ°ïæ½âÆ×
ÒѾÓÐ11È˻ظ´
Çó½Ì¸ßÊÖÈýÝÆ½âÆ×·½·¨~
ÒѾÓÐ11È˻ظ´
ÇóÖúºË´Å½âÆ×¸ßÊÖ°ïæ¿´¿´ÕâÊÇÄÄÒ»À໯ºÏÎï
ÒѾÓÐ9È˻ظ´
¡¾½»Á÷¡¿Çë¸ßÊÖ°ïæ¿´¿´Ðü¸¡¾ÛºÏСÇòµÄSEMͼ
ÒѾÓÐ20È˻ظ´
¡¾½»Á÷¡¿Çó½ÌXRD¸ßÊÖ°ïæ¿´¿´Õâ·ùͼXRD½â¹¹¾«ÐÞͼÊÇÔõôŪµÄ
ÒѾÓÐ10È˻ظ´
¡¾ÇóÖú¡¿Çë½âÆ×¸ßÊÖ°ï¿´¿´Õâ¸ö»¯ºÏÎ¸Ð¾õºÜÆæ¹Ö¡¡
ÒѾÓÐ21È˻ظ´
¡¾½»Á÷¡¿ÎÒÓÐÒ»¸öXRD·Û¾§Æ×ͼ£¬²»ÖªµÀÊÇʲô£¬ÓÐûÓиßÊÖ°ïæ½âÆ×
ÒѾÓÐ5È˻ظ´
¡¾ÇóÖú¡¿ÓÐûÓнâÆ×¸ßÊÖ°ïÎÒ¿´¿´Õâ¸öµ½µ×ÊÇʲô»¯ºÏÎ
ÒѾÓÐ6È˻ظ´
¡¾Çë½Ì¡¿Çë¸ßÊÖ°ïæ½âÎöÒ»ÏÂAFMÆ×ͼ
ÒѾÓÐ7È˻ظ´
¡¾ÇóÖú¡¿Çó¸ßÊÖ°ïæ½âHÆ×£¬ÊµÔڽⲻ³öÀ´ÁË£¡£¡
ÒѾÓÐ11È˻ظ´

²»ÂÛ¶àÉÙ´Î
ľ³æ (СÓÐÃûÆø)
- Ó¦Öú: 4 (Ó×¶ùÔ°)
- ½ð±Ò: 2066.6
- É¢½ð: 92
- ºì»¨: 4
- Ìû×Ó: 233
- ÔÚÏß: 109.5Сʱ
- ³æºÅ: 881807
- ×¢²á: 2009-10-23
- ÐÔ±ð: GG
- רҵ: ÌìȻҩÎﻯѧ

2Â¥2011-09-03 20:30:51
kobechan
ÖÁ×ðľ³æ (ÖªÃû×÷¼Ò)
ʯ¹Ä
- PhEPI: 6
- Ó¦Öú: 62 (³õÖÐÉú)
- ¹ó±ö: 4.41
- ½ð±Ò: 39112.6
- É¢½ð: 9865
- ºì»¨: 73
- ɳ·¢: 20
- Ìû×Ó: 6405
- ÔÚÏß: 1703.1Сʱ
- ³æºÅ: 480501
- ×¢²á: 2007-12-16
- ÐÔ±ð: GG
- רҵ: ÌìȻҩÎﻯѧ
¡¾´ð°¸¡¿Ó¦Öú»ØÌû
¡ï
sunshinexy(½ð±Ò+5): ллÄã 2011-09-03 22:25:25
qinhy(½ð±Ò+1): лл»ØÌû~ 2011-09-04 18:42:41
sunshinexy(½ð±Ò+5): ллÄã 2011-09-03 22:25:25
qinhy(½ð±Ò+1): лл»ØÌû~ 2011-09-04 18:42:41
| ĸºËÏñÊÇË«»·±¶°ëÝÆÄÚõ¥À࣬һ¸öË«¼ü£¬Èý¸ö-CH3£¬Ò»¸ö-COCH3£¬½á¹¹Ó¦¸Ã²»¸´ÔÓ£¬ÕÒ´ËÀàµÄÎÄÏ׶ԶԾͳöÀ´ÁË |
3Â¥2011-09-03 21:33:19
sunshinexy
Òø³æ (СÓÐÃûÆø)
- Ó¦Öú: 3 (Ó×¶ùÔ°)
- ½ð±Ò: 402.9
- É¢½ð: 3
- ºì»¨: 2
- Ìû×Ó: 124
- ÔÚÏß: 50.7Сʱ
- ³æºÅ: 936001
- ×¢²á: 2010-01-01
- ÐÔ±ð: MM
- רҵ: ÌìȻҩÎﻯѧ

4Â¥2011-09-04 21:47:55
kobechan
ÖÁ×ðľ³æ (ÖªÃû×÷¼Ò)
ʯ¹Ä
- PhEPI: 6
- Ó¦Öú: 62 (³õÖÐÉú)
- ¹ó±ö: 4.41
- ½ð±Ò: 39112.6
- É¢½ð: 9865
- ºì»¨: 73
- ɳ·¢: 20
- Ìû×Ó: 6405
- ÔÚÏß: 1703.1Сʱ
- ³æºÅ: 480501
- ×¢²á: 2007-12-16
- ÐÔ±ð: GG
- רҵ: ÌìȻҩÎﻯѧ
¡¾´ð°¸¡¿Ó¦Öú»ØÌû
¡ï
karl2100(½ð±Ò+1): лл£¡ 2011-09-04 22:57:51
karl2100(½ð±Ò+1): лл£¡ 2011-09-04 22:57:51
5Â¥2011-09-04 22:03:45
sunshinexy
Òø³æ (СÓÐÃûÆø)
- Ó¦Öú: 3 (Ó×¶ùÔ°)
- ½ð±Ò: 402.9
- É¢½ð: 3
- ºì»¨: 2
- Ìû×Ó: 124
- ÔÚÏß: 50.7Сʱ
- ³æºÅ: 936001
- ×¢²á: 2010-01-01
- ÐÔ±ð: MM
- רҵ: ÌìȻҩÎﻯѧ

6Â¥2011-09-06 15:47:40
DMSO-HE
ͳæ (СÓÐÃûÆø)
- Ó¦Öú: 4 (Ó×¶ùÔ°)
- ½ð±Ò: 449.2
- É¢½ð: 7
- ºì»¨: 1
- Ìû×Ó: 104
- ÔÚÏß: 54.5Сʱ
- ³æºÅ: 1219871
- ×¢²á: 2011-03-03
- ÐÔ±ð: GG
- רҵ: ÌìȻҩÎﻯѧ
¡¾´ð°¸¡¿Ó¦Öú»ØÌû
¡ï
qinhy(½ð±Ò+1): ¶àлӦÖú~ 2011-09-11 11:58:03
sunshinexy(½ð±Ò+20): лл 2011-09-15 16:25:50
qinhy(½ð±Ò+1): ¶àлӦÖú~ 2011-09-11 11:58:03
sunshinexy(½ð±Ò+20): лл 2011-09-15 16:25:50

7Â¥2011-09-09 13:12:24
sunshinexy
Òø³æ (СÓÐÃûÆø)
- Ó¦Öú: 3 (Ó×¶ùÔ°)
- ½ð±Ò: 402.9
- É¢½ð: 3
- ºì»¨: 2
- Ìû×Ó: 124
- ÔÚÏß: 50.7Сʱ
- ³æºÅ: 936001
- ×¢²á: 2010-01-01
- ÐÔ±ð: MM
- רҵ: ÌìȻҩÎﻯѧ

8Â¥2011-09-15 16:32:39
²»ÂÛ¶àÉÙ´Î
ľ³æ (СÓÐÃûÆø)
- Ó¦Öú: 4 (Ó×¶ùÔ°)
- ½ð±Ò: 2066.6
- É¢½ð: 92
- ºì»¨: 4
- Ìû×Ó: 233
- ÔÚÏß: 109.5Сʱ
- ³æºÅ: 881807
- ×¢²á: 2009-10-23
- ÐÔ±ð: GG
- רҵ: ÌìȻҩÎﻯѧ

9Â¥2011-09-17 19:40:31
sunshinexy
Òø³æ (СÓÐÃûÆø)
- Ó¦Öú: 3 (Ó×¶ùÔ°)
- ½ð±Ò: 402.9
- É¢½ð: 3
- ºì»¨: 2
- Ìû×Ó: 124
- ÔÚÏß: 50.7Сʱ
- ³æºÅ: 936001
- ×¢²á: 2010-01-01
- ÐÔ±ð: MM
- רҵ: ÌìȻҩÎﻯѧ

10Â¥2011-09-17 20:04:36














»Ø¸´´ËÂ¥