| ²é¿´: 1701 | »Ø¸´: 9 | ||
| ±¾Ìû²úÉú 1 ¸ö PhEPI £¬µã»÷ÕâÀï½øÐв鿴 | ||
cat-liujiangÌú¸Ëľ³æ (ÕýʽдÊÖ)
|
[ÇóÖú]
½âÆ×ÇóÖú£ºÒ»¸ö·Ç³£·Ç³£º†…gµÄ»¯ºÏÎï
|
|
|
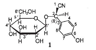
·Öµ½Ò»¸ö½á¹¹·Ç³£º†…gµÄ»¯ºÏÎֻ¿´³öÓÐÒ»¸ö±½»·Ò»¸öÌÇ£¬»¹ÓÐÁ½¸öÎÞ·¨¹éÊôµÄÌ¿£¬¾ÍÊÇÆ´´Õ²»µ½Ò»Æð£¬Íû¸ßÈËÖ¸µã£¬Ð»Ð»£¡ |
» ±¾ÌûÒÑ»ñµÃµÄºì»¨£¨×îÐÂ10¶ä£©
» ²ÂÄãϲ»¶
081700£¬311£¬Çóµ÷¼Á
ÒѾÓÐ15È˻ظ´
Ò»Ö¾Ô¸±±¾©»¯¹¤085600 310·ÖÇóµ÷¼Á
ÒѾÓÐ18È˻ظ´
085600²ÄÁÏÓ뻯¹¤301·ÖÇóµ÷¼ÁԺУ
ÒѾÓÐ4È˻ظ´
²ÄÁÏÓ뻯¹¤371Çóµ÷¼Á
ÒѾÓÐ14È˻ظ´
336²ÄÁÏÓ뻯¹¤085600Çóµ÷¼Á
ÒѾÓÐ7È˻ظ´
²ÄÁÏ334Çóµ÷¼Á
ÒѾÓÐ18È˻ظ´
331Çóµ÷¼Á
ÒѾÓÐ8È˻ظ´
332Çóµ÷¼Á
ÒѾÓÐ17È˻ظ´
Ò»Ö¾Ô¸ÄϾ©º½¿Õº½Ìì´óѧ ²ÄÁÏÓ뻯¹¤329·ÖÇóµ÷¼Á
ÒѾÓÐ4È˻ظ´
²ÄÁÏר˶322
ÒѾÓÐ7È˻ظ´
» ±¾Ö÷ÌâÏà¹Ø¼ÛÖµÌùÍÆ¼ö£¬¶ÔÄúͬÑùÓаïÖú:
½âÆ×ÇóÖú£¨Ö»ÓÐ̼Æ×£©£¬Ð»Ð»ÁË¡£
ÒѾÓÐ3È˻ظ´
1¸ö»¯ºÏÎï ½âÆ×ÇóÖú£¨Óи÷ÖÖͼÆ×£©
ÒѾÓÐ12È˻ظ´
΢Æ×ÇóÖúÒ»»¯ºÏÎï½á¹¹
ÒѾÓÐ3È˻ظ´
̼Æ×»¯Ñ§Î»ÒÆÇó½âÎö
ÒѾÓÐ5È˻ظ´
¡¾ÇóÖú¡¿ÇóÖú½âÆ×CÆ×ºÍHÆ×
ÒѾÓÐ22È˻ظ´
¡¾ÇóÖú¡¿½âÆ×²»Öª´ÓÄÄ¿ªÊ¼¿´Æð
ÒѾÓÐ3È˻ظ´
hupanyong
ľ³æ (ÕýʽдÊÖ)
- Ó¦Öú: 9 (Ó×¶ùÔ°)
- ½ð±Ò: 3396.5
- É¢½ð: 50
- Ìû×Ó: 660
- ÔÚÏß: 193.6Сʱ
- ³æºÅ: 1039418
- ×¢²á: 2010-06-10
- רҵ: ÌìȻҩÎﻯѧ
2Â¥2011-09-01 10:23:58
cat-liujiang
Ìú¸Ëľ³æ (ÕýʽдÊÖ)
- Ó¦Öú: 6 (Ó×¶ùÔ°)
- ½ð±Ò: 7139.1
- É¢½ð: 261
- ºì»¨: 5
- Ìû×Ó: 995
- ÔÚÏß: 834.1Сʱ
- ³æºÅ: 269798
- ×¢²á: 2006-08-05
- ÐÔ±ð: GG
- רҵ: ×÷ÎïÉúÀíѧ
3Â¥2011-09-01 11:18:42
hupanyong
ľ³æ (ÕýʽдÊÖ)
- Ó¦Öú: 9 (Ó×¶ùÔ°)
- ½ð±Ò: 3396.5
- É¢½ð: 50
- Ìû×Ó: 660
- ÔÚÏß: 193.6Сʱ
- ³æºÅ: 1039418
- ×¢²á: 2010-06-10
- רҵ: ÌìȻҩÎﻯѧ
4Â¥2011-09-01 11:57:30
cat-liujiang
Ìú¸Ëľ³æ (ÕýʽдÊÖ)
- Ó¦Öú: 6 (Ó×¶ùÔ°)
- ½ð±Ò: 7139.1
- É¢½ð: 261
- ºì»¨: 5
- Ìû×Ó: 995
- ÔÚÏß: 834.1Сʱ
- ³æºÅ: 269798
- ×¢²á: 2006-08-05
- ÐÔ±ð: GG
- רҵ: ×÷ÎïÉúÀíѧ
5Â¥2011-09-01 13:38:30
kobechan
ÖÁ×ðľ³æ (ÖªÃû×÷¼Ò)
ʯ¹Ä
- PhEPI: 6
- Ó¦Öú: 62 (³õÖÐÉú)
- ¹ó±ö: 4.41
- ½ð±Ò: 39112.6
- É¢½ð: 9865
- ºì»¨: 73
- ɳ·¢: 20
- Ìû×Ó: 6405
- ÔÚÏß: 1703.1Сʱ
- ³æºÅ: 480501
- ×¢²á: 2007-12-16
- ÐÔ±ð: GG
- רҵ: ÌìȻҩÎﻯѧ
¡¾´ð°¸¡¿Ó¦Öú»ØÌû
¡ï ¡ï ¡ï ¡ï ¡ï
ÖÐÒ©2000(½ð±Ò+5, PhEPI+1): ллӦÖú¡£ 2011-09-01 15:42:39
ÖÐÒ©2000(½ð±Ò+5, PhEPI+1): ллӦÖú¡£ 2011-09-01 15:42:39
» ±¾ÌûÒÑ»ñµÃµÄºì»¨£¨×îÐÂ10¶ä£©
6Â¥2011-09-01 14:43:28
cat-liujiang
Ìú¸Ëľ³æ (ÕýʽдÊÖ)
- Ó¦Öú: 6 (Ó×¶ùÔ°)
- ½ð±Ò: 7139.1
- É¢½ð: 261
- ºì»¨: 5
- Ìû×Ó: 995
- ÔÚÏß: 834.1Сʱ
- ³æºÅ: 269798
- ×¢²á: 2006-08-05
- ÐÔ±ð: GG
- רҵ: ×÷ÎïÉúÀíѧ
7Â¥2011-09-01 16:32:04
kobechan
ÖÁ×ðľ³æ (ÖªÃû×÷¼Ò)
ʯ¹Ä
- PhEPI: 6
- Ó¦Öú: 62 (³õÖÐÉú)
- ¹ó±ö: 4.41
- ½ð±Ò: 39112.6
- É¢½ð: 9865
- ºì»¨: 73
- ɳ·¢: 20
- Ìû×Ó: 6405
- ÔÚÏß: 1703.1Сʱ
- ³æºÅ: 480501
- ×¢²á: 2007-12-16
- ÐÔ±ð: GG
- רҵ: ÌìȻҩÎﻯѧ
|
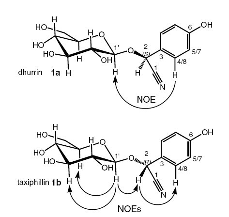
¹âѧÒì¹¹ÌåŶ£¬Õâ¸öÍêȫȷ¶¨¹À¼ÆÄãÒ²µÃ×ö¸öNOEÆ×°É |
» ±¾ÌûÒÑ»ñµÃµÄºì»¨£¨×îÐÂ10¶ä£©
8Â¥2011-09-01 16:36:44
cat-liujiang
Ìú¸Ëľ³æ (ÕýʽдÊÖ)
- Ó¦Öú: 6 (Ó×¶ùÔ°)
- ½ð±Ò: 7139.1
- É¢½ð: 261
- ºì»¨: 5
- Ìû×Ó: 995
- ÔÚÏß: 834.1Сʱ
- ³æºÅ: 269798
- ×¢²á: 2006-08-05
- ÐÔ±ð: GG
- רҵ: ×÷ÎïÉúÀíѧ
9Â¥2011-09-01 17:20:41
hupanyong
ľ³æ (ÕýʽдÊÖ)
- Ó¦Öú: 9 (Ó×¶ùÔ°)
- ½ð±Ò: 3396.5
- É¢½ð: 50
- Ìû×Ó: 660
- ÔÚÏß: 193.6Сʱ
- ³æºÅ: 1039418
- ×¢²á: 2010-06-10
- רҵ: ÌìȻҩÎﻯѧ
10Â¥2011-09-03 16:17:14














»Ø¸´´ËÂ¥
hupanyong
