| 查看: 1050 | 回复: 8 | ||
happy111839铜虫 (正式写手)
|
[求助]
过渡态与反应机理求助
|
|
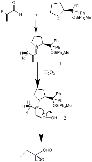
请问用高斯进行反应机理时,2结构中过氧化氢中的另一个氢以什么形式存在?(反应是在己烷溶剂中进行的,添加酸催化剂或碱催化剂对反应基本没影响) [ Last edited by happy111839 on 2011-8-25 at 07:38 ] |
» 猜你喜欢
国家级人才课题组招收2026年入学博士
已经有6人回复
意大利米兰理工大学急聘CSC公派留学博士生(物理或无机材料科学方向)
已经有47人回复
物理化学论文润色/翻译怎么收费?
已经有165人回复
求加氢处理工艺与工程(第二版)pdf 李大东 中国石化出版社 9787511436689
已经有0人回复
新加坡ASTAR招收CSC或学校资助联培博士生/访问学生
已经有2人回复
求助Amsterdam Density Functional
已经有3人回复
武汉纺织大学全国重点实验室陈嵘教授团队招收2026级学术/专业型硕士研究生
已经有0人回复
国家级人才课题组招收2026年入学博士
已经有1人回复
» 本主题相关价值贴推荐,对您同样有帮助:
【求助】自由基耦合反应过渡态有过渡态吗?怎样计算其过渡态?
已经有4人回复
关于反应机理计算的问题集锦+求助
已经有9人回复
【求助】做催化反应 扫线找过渡态的时候 卡住不动
已经有3人回复
【求助】不对称D-A反应机理解释
已经有16人回复
【求助】求助下面有机合成的反应机理!急~~~
已经有13人回复
【求助】如何用QST2寻找反应过渡态
已经有9人回复
【讨论】Gaussian03研究化学反应机理(如催化酯水解)
已经有8人回复
【求助】求指点钯,铜等催化剂氧化加成和还原消除反应机理
已经有8人回复
【求助】过渡态能量竟然比反应物和产物还低
已经有9人回复
lailai7888
木虫 (小有名气)
- 应助: 0 (幼儿园)
- 金币: 2412.5
- 红花: 1
- 帖子: 58
- 在线: 160.2小时
- 虫号: 691207
- 注册: 2009-01-11
- 性别: MM
- 专业: 理论和计算化学
2楼2011-08-25 08:30:11
happy111839
铜虫 (正式写手)
- 应助: 0 (幼儿园)
- 金币: 189.2
- 散金: 77
- 帖子: 364
- 在线: 103.9小时
- 虫号: 878598
- 注册: 2009-10-20
- 性别: MM
- 专业: 理论和计算化学
3楼2011-08-25 11:37:32
lailai7888
木虫 (小有名气)
- 应助: 0 (幼儿园)
- 金币: 2412.5
- 红花: 1
- 帖子: 58
- 在线: 160.2小时
- 虫号: 691207
- 注册: 2009-01-11
- 性别: MM
- 专业: 理论和计算化学
4楼2011-08-26 10:00:35
happy111839
铜虫 (正式写手)
- 应助: 0 (幼儿园)
- 金币: 189.2
- 散金: 77
- 帖子: 364
- 在线: 103.9小时
- 虫号: 878598
- 注册: 2009-10-20
- 性别: MM
- 专业: 理论和计算化学
5楼2011-08-26 10:47:14
lailai7888
木虫 (小有名气)
- 应助: 0 (幼儿园)
- 金币: 2412.5
- 红花: 1
- 帖子: 58
- 在线: 160.2小时
- 虫号: 691207
- 注册: 2009-01-11
- 性别: MM
- 专业: 理论和计算化学
6楼2011-08-27 16:42:11
voleyes
银虫 (正式写手)
- 应助: 16 (小学生)
- 金币: 32.3
- 散金: 6
- 帖子: 469
- 在线: 295.2小时
- 虫号: 947110
- 注册: 2010-01-23
- 专业: 理论和计算化学
7楼2011-08-30 08:39:44
happy111839
铜虫 (正式写手)
- 应助: 0 (幼儿园)
- 金币: 189.2
- 散金: 77
- 帖子: 364
- 在线: 103.9小时
- 虫号: 878598
- 注册: 2009-10-20
- 性别: MM
- 专业: 理论和计算化学
8楼2011-08-31 07:46:51
happy111839
铜虫 (正式写手)
- 应助: 0 (幼儿园)
- 金币: 189.2
- 散金: 77
- 帖子: 364
- 在线: 103.9小时
- 虫号: 878598
- 注册: 2009-10-20
- 性别: MM
- 专业: 理论和计算化学
9楼2011-08-31 07:48:11













回复此楼