24小时热门版块排行榜    

北京石油化工学院2026年研究生招生接收调剂公告
查看: 372  |  回复: 1

Danielxu

金虫 (正式写手)

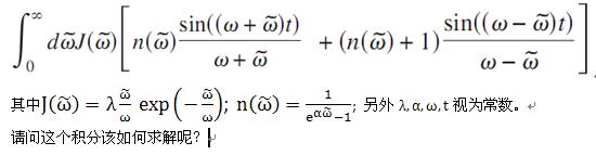
[求助] 请教一个较为复杂的积分问题!

如下:


谢谢!
回复此楼
已阅   回复此楼   关注TA 给TA发消息 送TA红花 TA的回帖

jskx

新虫 (初入文坛)

【答案】应助回帖


nono2009(金币+1): 鼓励应助 2011-07-21 18:59:19
用数值积分的方法求,试试!
2楼2011-07-18 23:02:14
已阅   回复此楼   关注TA 给TA发消息 送TA红花 TA的回帖
相关版块跳转 我要订阅楼主 Danielxu 的主题更新
最具人气热帖推荐 [查看全部] 作者 回/看 最后发表
[考研] 321求调剂 +6 璞玉~~ 2026-03-25 7/350 2026-03-28 17:48 by 璞玉~~
[考研] 22408 359分调剂 +3 Qshers 2026-03-27 4/200 2026-03-28 16:45 by Qshers
[考研] 【求调剂】085601材料工程专硕 | 总分272 | +6 脚滑的守法公民 2026-03-27 6/300 2026-03-28 11:02 by gjlllb
[考研] 277跪求调剂 +5 1915668 2026-03-27 9/450 2026-03-28 09:58 by zhshch
[考研] 材料求调剂一志愿哈工大324 +7 闫旭东 2026-03-28 9/450 2026-03-28 08:51 by Xu de nuo
[考研] 一志愿211院校 344分 东北农业大学生物学学硕,求调剂 +5 丶风雪夜归人丶 2026-03-26 8/400 2026-03-27 19:22 by 丶风雪夜归人丶
[考研] 279 分 求调剂 +4 睡个好觉_16 2026-03-24 4/200 2026-03-27 15:05 by 醉在风里
[考研] 考研调剂 +10 呼呼?~+123456 2026-03-24 10/500 2026-03-27 11:46 by wangjy2002
[考研] 调剂 +3 李嘉图·S·路 2026-03-27 3/150 2026-03-27 11:19 by wangjy2002
[考研] 324求调剂 +5 hanamiko 2026-03-26 5/250 2026-03-27 10:33 by wangjy2002
[考研] 316求调剂 +5 江辞666 2026-03-26 5/250 2026-03-27 08:08 by hypershenger
[考研] 0703化学求调剂 +3 丹青奶盖 2026-03-26 5/250 2026-03-26 20:11 by macy2011
[考研] 材料调剂 5+4 想要一壶桃花水 2026-03-25 10/500 2026-03-26 19:56 by 不吃魚的貓
[考研] 求调剂 +8 Auroracx 2026-03-22 8/400 2026-03-26 19:55 by 不吃魚的貓
[考研] 085602化学工程求调剂。 +4 平乐乐乐 2026-03-26 4/200 2026-03-26 17:57 by fmesaito
[考研] 281求调剂 +6 Koxui 2026-03-24 7/350 2026-03-26 15:37 by 无际的草原
[考研] 材料调剂 +3 iwinso 2026-03-23 3/150 2026-03-25 11:29 by greychen00
[考研] 300求调剂,材料科学英一数二 +5 leaflight 2026-03-24 5/250 2026-03-24 16:25 by laoshidan
[考研] 环境学硕288求调剂 +8 皮皮皮123456 2026-03-22 8/400 2026-03-23 23:47 by 热情沙漠
[考研] 308求调剂 +3 墨墨漠 2026-03-21 3/150 2026-03-22 16:54 by i_cooler
信息提示
请填处理意见