Znn3bq.jpeg
±±¾©Ê¯ÓÍ»¯¹¤Ñ§Ôº2026ÄêÑо¿ÉúÕÐÉú½ÓÊÕµ÷¼Á¹«¸æ
²é¿´: 389  |  »Ø¸´: 3

sun_rain

Ìú¸Ëľ³æ (ÖøÃûдÊÖ)

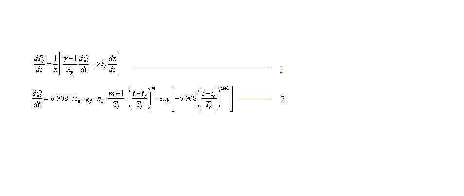
[ÇóÖú] ÇóÖú£ºÕâÁ½¸ö·½³Ì¸ÃÔõÑùÓÃUDFÀ´Ð´Ñ½

ÓÃPcÕâ¸öÁ¦È¥¿ØÖƸÕÌåÔ˶¯£¬ÕâÁ½¸ö·½³Ì¸ÃÔõÑùÓÃUDFÀ´Ð´Ñ½£¿

ллÁË


[ Last edited by sun_rain on 2011-6-10 at 14:58 ]
»Ø¸´´ËÂ¥

» ²ÂÄãϲ»¶

» ±¾Ö÷ÌâÏà¹Ø¼ÛÖµÌùÍÆ¼ö£¬¶ÔÄúͬÑùÓаïÖú:

ÒÑÔÄ   »Ø¸´´ËÂ¥   ¹Ø×¢TA ¸øTA·¢ÏûÏ¢ ËÍTAºì»¨ TAµÄ»ØÌû
xiegangmai: רҵ°æ¿éÇóÖúÌû£¬ÇëÎð¹àË®£¡ 2011-06-10 19:31:43
2Â¥2011-06-10 15:06:07
ÒÑÔÄ   »Ø¸´´ËÂ¥   ¹Ø×¢TA ¸øTA·¢ÏûÏ¢ ËÍTAºì»¨ TAµÄ»ØÌû

sun_rain

Ìú¸Ëľ³æ (ÖøÃûдÊÖ)

ÒýÓûØÌû:
Originally posted by fu208 at 2011-06-10 15:06:07:

ллMMÖ§³Ö
3Â¥2011-06-10 19:10:03
ÒÑÔÄ   »Ø¸´´ËÂ¥   ¹Ø×¢TA ¸øTA·¢ÏûÏ¢ ËÍTAºì»¨ TAµÄ»ØÌû

ynx2002

½ð³æ (ÖøÃûдÊÖ)

×Ô¼ºÒ»¸öÈËÕÛÌںþÃÁË£¬Â·¹ýµÄÅóÓÑ£¬ÄܸøÖ§¸öÕÐÂð£¬Ð»Ð»ÁË
µÚÒ»¸ö·½³ÌµÄÓұߺ¬ÓÐPc£¬Ôõô±íʾËüÄØ£¿
ллÁË
4Â¥2011-06-12 20:29:08
ÒÑÔÄ   »Ø¸´´ËÂ¥   ¹Ø×¢TA ¸øTA·¢ÏûÏ¢ ËÍTAºì»¨ TAµÄ»ØÌû
Ïà¹Ø°æ¿éÌø×ª ÎÒÒª¶©ÔÄÂ¥Ö÷ sun_rain µÄÖ÷Ìâ¸üÐÂ
×î¾ßÈËÆøÈÈÌûÍÆ¼ö [²é¿´È«²¿] ×÷Õß »Ø/¿´ ×îºó·¢±í
[¿¼ÑÐ] 275 Çóµ÷¼Á +8 Lei812514 2026-04-07 8/400 2026-04-08 12:46 by chemisry
[¿¼ÑÐ] Çóµ÷¼Á²ÄÁÏ¿ÆÑ§Ó빤³ÌÒ»Ö¾Ô¸985³õÊÔ365·Ö +3 ²Ä»¯Àî¿É 2026-04-08 3/150 2026-04-08 11:46 by zzucheup
[¿¼ÑÐ] 0703»¯Ñ§µ÷¼Á325·Ö +13 15771691647 2026-04-04 14/700 2026-04-08 10:28 by screening
[¿¼ÑÐ] ²ÄÁÏר˶(0856) 339·ÖÇóµ÷¼Á +14 ¹þ¹þ¹þ¶ì¹þ¹þ¹þ 2026-04-05 14/700 2026-04-07 22:02 by lijunpoly
[¿¼ÑÐ] 316Çóµ÷¼Á +7 yyxÏëµ÷¼Á 2026-04-05 7/350 2026-04-07 14:31 by shdgaomin
[¿¼ÑÐ] 0702ÎïÀíѧѧ˶299Çóµ÷¼Á +3 ÆîÆâÁ¬ 2026-04-06 3/150 2026-04-07 12:48 by Сľ³ægyh
[¿¼ÑÐ] ÐŹ¤Ëù11408 340·Ö ±¾¿ÆÎ÷°²½»´ó×Ô¶¯»¯ +3 moontrek 2026-04-06 3/150 2026-04-07 09:56 by chongya
[¿¼ÑÐ] ¸´ÊÔµ÷¼Á +14 ºôºô£¿~+123456 2026-04-05 14/700 2026-04-06 22:50 by chenzhimin
[˶²©¼ÒÔ°] 0856²ÄÁÏ»¯¹¤Çóµ÷¼Á£¬Ò»Ö¾Ô¸211£¬³õÊԳɼ¨349 +4 ½­»´±±Ô 2026-04-05 4/200 2026-04-06 22:44 by chenzhimin
[¿¼ÑÐ] 085405Èí¼þ¹¤³Ì301·ÖÇóµ÷¼Á£¬×¨Ë¶¿É¿çרҵ£¬ËÄÁù¼¶Òѹý +3 ¾²¾²ÏëÏë 2026-04-05 3/150 2026-04-06 15:23 by nepu_uu
[¿¼ÑÐ] 0854Çóµ÷¼Á +4 assdll 2026-04-05 4/200 2026-04-06 12:29 by ÖзÉÔº¿Õ¹ÜѧԺÑ
[¿¼ÑÐ] 0860 Çóµ÷¼Á Ò»Ö¾Ô¸¹ú¿Æ´ó 348 ·Ö +3 WiiiP 2026-04-03 3/150 2026-04-05 17:43 by Ecowxq666£¡
[¿¼ÑÐ] µ÷¼Á +8 ÐܶþÏëÉϰ¶ 2026-04-04 8/400 2026-04-05 05:27 by houyaoxu
[¿¼ÑÐ] ²ÄÁÏÓ뻯¹¤306·ÖÕÒµ÷¼Á +12 ²×º£ÇáÖÛe 2026-04-03 13/650 2026-04-04 23:45 by lqwchd
[¿¼ÑÐ] 338Çóµ÷¼Á +7 êɹ¦? 2026-04-03 7/350 2026-04-04 20:37 by À¶ÔÆË¼Óê
[¿¼ÑÐ] 305Çóµ÷¼Á +3 77Qi 2026-04-03 3/150 2026-04-03 23:01 by qzxyhcsy
[¿¼ÑÐ] 293Çóµ÷¼Á +5 ĩδmm 2026-04-02 6/300 2026-04-03 15:20 by Íõ±£½Ü33
[¿¼ÑÐ] Çóµ÷¼Á +3 ÐÄÏëÊÂ³É¿É 2026-04-03 3/150 2026-04-03 11:22 by wangjy2002
[¿¼ÑÐ] ½»Í¨ÔËÊ俼ÊÔ264·ÖÇ󹤿Ƶ÷¼Á +4 jike777 2026-04-02 4/200 2026-04-02 21:53 by zllcz
[¿¼ÑÐ] Ò»Ö¾Ô¸Î人Àí¹¤0856£¬³õÊÔ334 +3 26¿¼ÑвÄÁÏ 2026-04-02 3/150 2026-04-02 21:22 by dongzh2009
ÐÅÏ¢Ìáʾ
ÇëÌî´¦ÀíÒâ¼û