| 查看: 1253 | 回复: 6 | ||
lijing.wit金虫 (小有名气)
纳米水手
|
[求助]
求期望
|
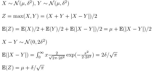
| 已知随机变量X,Y均服从正态分布,期望u,方差δ×δ已知,现有Z=max(X,Y),求随机变量Z的期望? |
» 猜你喜欢
一志愿北京化工大学 070300 学硕 336分 求调剂
已经有4人回复
352求调剂
已经有3人回复
一志愿东华大学化学070300,求调剂
已经有8人回复
277材料科学与工程080500求调剂
已经有7人回复
317求调剂
已经有18人回复
293求调剂
已经有5人回复
280分求调剂 一志愿085802
已经有7人回复
0854电子信息求调剂
已经有3人回复
263求调剂
已经有4人回复
石河子大学(211、双一流)硕博研究生长期招生公告
已经有3人回复

pengyehui
木虫 (正式写手)
- 数学EPI: 3
- 应助: 15 (小学生)
- 贵宾: 0.03
- 金币: 4215.2
- 红花: 5
- 帖子: 510
- 在线: 190.6小时
- 虫号: 462928
- 注册: 2007-11-19
- 性别: GG
- 专业: 计算数学与科学工程计算
2楼2011-05-29 09:33:27
andsc
木虫 (小有名气)
- 应助: 1 (幼儿园)
- 金币: 1694.7
- 帖子: 56
- 在线: 54.1小时
- 虫号: 1278544
- 注册: 2011-04-26
- 性别: GG
- 专业: 数理逻辑和与计算机相关的

3楼2011-05-29 11:07:43
inhaul
新虫 (正式写手)
- 数学EPI: 1
- 应助: 38 (小学生)
- 贵宾: 0.001
- 金币: 6972.5
- 散金: 900
- 红花: 5
- 帖子: 796
- 在线: 584.6小时
- 虫号: 1011659
- 注册: 2010-05-05
4楼2011-05-29 14:12:41
hill008
金虫 (正式写手)
- 数学EPI: 1
- 应助: 8 (幼儿园)
- 金币: 2560.6
- 散金: 2088
- 红花: 13
- 帖子: 613
- 在线: 734.4小时
- 虫号: 957255
- 注册: 2010-02-21
- 专业: 统计学其他学科
5楼2011-05-29 21:15:47
inhaul
新虫 (正式写手)
- 数学EPI: 1
- 应助: 38 (小学生)
- 贵宾: 0.001
- 金币: 6972.5
- 散金: 900
- 红花: 5
- 帖子: 796
- 在线: 584.6小时
- 虫号: 1011659
- 注册: 2010-05-05
6楼2011-05-29 23:05:25
wangsiliang
木虫 (小有名气)
- 应助: 0 (幼儿园)
- 金币: 4578.4
- 散金: 50
- 红花: 1
- 帖子: 154
- 在线: 156.7小时
- 虫号: 1181359
- 注册: 2010-12-31
- 性别: GG
- 专业: 半导体材料
7楼2011-06-02 17:59:28













回复此楼