版块导航
正在加载中...
客户端APP下载
论文辅导
申博辅导
登录
注册
帖子
帖子
用户
本版
应《网络安全法》要求,自2017年10月1日起,未进行实名认证将不得使用互联网跟帖服务。为保障您的帐号能够正常使用,请尽快对帐号进行手机号验证,感谢您的理解与支持!
24小时热门版块排行榜
>
论坛更新日志
(505)
>
考博
(40)
>
虫友互识
(31)
>
硕博家园
(18)
>
导师招生
(14)
>
论文投稿
(10)
>
考研
(9)
>
博后之家
(8)
>
找工作
(8)
>
公派出国
(6)
>
休闲灌水
(6)
>
教师之家
(5)
>
石油化工
(4)
>
基金申请
(3)
>
论文道贺祈福
(2)
>
文献求助
(2)
小木虫论坛-学术科研互动平台
»
专业学科区
»
数学
»
工科数学
»
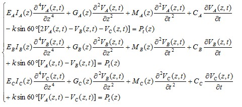
复杂偏微分方程,望大侠指教……
5
1/1
返回列表
查看: 1303 | 回复: 4
只看楼主
@他人
存档
新回复提醒
(忽略)
收藏
在APP中查看
insword
新虫
(小有名气)
应助: 0
(幼儿园)
金币: 57.3
帖子: 72
在线: 40.7小时
虫号: 1179737
[交流]
复杂偏微分方程,望大侠指教……
如图片所示,边界条件足够
希望大家多多指教……
回复此楼
» 猜你喜欢
交叉科学部支持青年基金,对三无青椒是个机会吗?
已经有3人回复
国家级人才课题组招收2026年入学博士
已经有5人回复
Fe3O4@SiO2合成
已经有6人回复
青年基金C终止
已经有4人回复
青椒八年已不青,大家都被折磨成啥样了?
已经有7人回复
为什么nbs上溴 没有产物点出现呢
已经有10人回复
救命帖
已经有11人回复
招博士
已经有5人回复
26申博求博导推荐-遥感图像处理方向
已经有4人回复
限项规定
已经有7人回复
高级回复
» 本主题相关价值贴推荐,对您同样有帮助:
考数学专业研究生个人的一点感受
已经有5人回复
分享一篇好文章:二十一世纪科学和数学的趋势(P.A.Griffiths)[转载]
已经有8人回复
» 抢金币啦!回帖就可以得到:
查看全部散金贴
限广州,征女友
+
2
/104
西北工业大学民航学院招博士与硕士复合材料方向
+
1
/90
“超分子材料交叉研究团队”联合诚聘博士后 [清华/吉大/复旦/北大]
+
1
/80
中南林业科技大学-自然资源与生态环境管理-申请-考核制博士生招生(导师本人发布)
+
1
/79
南方医科大学发育生物学教研室夏来新教授课题组招收26级博士研究生
+
1
/77
[求助] 半导体物理PPT课件 东华理工机电学院 彭新村老师
+
1
/75
【2026/2027 哈工大计算机类博士/硕士招生】
+
1
/75
北京理工大学 珠海校区全职院士招数名博士生--申请考核制-半导体、光学、微电子
+
2
/66
东北林业大学刘松教授课题组长期招收博士、博士后
+
1
/28
中山大学农业与生物技术学院周潇峰课题组诚聘微生物/植物病理学方向科研助理
+
1
/28
【青岛大学】2026年生物与医药博士生招生(含少数民族骨干人才)
+
1
/28
华中科技大学周英教授招博后
+
1
/27
青岛大学化学院泰山学者冯佳课题组申请考核制博士招生
+
1
/13
英国埃克塞特大学联合培养博士,访问学者, 博后依托申请
+
1
/5
山东大学集成电路学院太赫兹团队博士招生(2026年2月底前)
+
1
/5
【博士后/科研助理招聘-北京理工大学-集成电路与电子学院-国家杰青团队】
+
1
/4
论文投稿散金祈愿-电机学报
+
2
/4
华南理工大学宋波教授招收2026年博士生(二氧化碳转化方向优先)
+
1
/4
澳科大诚招2026年秋季生物材料全奖博士研究生(今日16:30线上宣讲会)
+
1
/4
福建师范大学柔性电子学院 院士团队招2026级博士 光电器件、发光传感忆阻器
+
1
/3
1楼
2011-05-20 10:03:39
已阅
回复此楼
关注TA
给TA发消息
送TA红花
TA的回帖
jfili
金虫
(正式写手)
数学EPI: 17
应助: 17
(小学生)
贵宾: 0.25
金币: 2063.5
帖子: 594
在线: 111.6小时
虫号: 730814
★
insword(金币
+1
):谢谢参与
soliton923: 谢谢专家参与讨论 2011-05-20 22:03:40
这个。右端的项与t无关吗?如果与t无关,这个方程解唯一的话,就可以设解也t无关的啊
那么这个方程就变成了一个常微分方程了
赞
一下
(2人)
回复此楼
2楼
2011-05-20 19:04:08
已阅
回复此楼
关注TA
给TA发消息
送TA红花
TA的回帖
insword
新虫
(小有名气)
应助: 0
(幼儿园)
金币: 57.3
帖子: 72
在线: 40.7小时
虫号: 1179737
引用回帖:
Originally posted by
jfili
at 2011-05-20 19:04:08:
这个。右端的项与t无关吗?如果与t无关,这个方程解唯一的话,就可以设解也t无关的啊
那么这个方程就变成了一个常微分方程了
谢谢指教,右边项和t无关,可以全换成哦,之前试过分离变量的方法求解,最后在变量替换时候不会处理了,能给个邮箱嘛,求解过程发你
赞
一下
回复此楼
3楼
2011-05-22 11:05:12
已阅
回复此楼
关注TA
给TA发消息
送TA红花
TA的回帖
KevinW
铁虫
(著名写手)
应助: 0
(幼儿园)
金币: 276.6
帖子: 2702
在线: 60.8小时
虫号: 1150591
★
insword(金币
+1
):谢谢参与
bless!
回复此楼
4楼
2011-05-22 11:26:28
已阅
回复此楼
关注TA
给TA发消息
送TA红花
TA的回帖
lilac_c
至尊木虫
(知名作家)
应助: 26
(小学生)
金币: 20562.5
帖子: 7418
在线: 636.4小时
虫号: 1314366
★
insword(金币
+1
):谢谢参与
还是多个自由度的.....
赞
一下
(1人)
回复此楼
5楼
2011-07-04 03:30:23
已阅
回复此楼
关注TA
给TA发消息
送TA红花
TA的回帖
相关版块跳转
数理科学综合
机械
物理
数学
农林
食品
地学
能源
信息科学
土木建筑
航空航天
转基因
我要订阅楼主
insword
的主题更新
5
1/1
返回列表
如果回帖内容含有宣传信息,请如实选中。否则帐号将被全论坛禁言
普通表情
龙
兔
虎
猫
高级回复
(可上传附件)
百度网盘
|
360云盘
|
千易网盘
|
华为网盘
在新窗口页面中打开自己喜欢的网盘网站,将文件上传后,然后将下载链接复制到帖子内容中就可以了。
信息提示
关闭
请填处理意见
关闭
确定