| ²é¿´: 5388 | »Ø¸´: 4 | ||
once-dreamer½ð³æ (СÓÐÃûÆø)
|
[ÇóÖú]
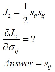
ÕÅÁ¿Çóµ¼£¨Ó¦Á¦Æ«Á¿µÄµÚ¶þ²»±äÁ¿¶ÔÓ¦Á¦·ÖÁ¿Çóµ¼£© ÒÑÓÐ1È˲ÎÓë
|
|
|
|
||
z8118201гæ (³õÈëÎÄ̳)
|
||
|
2Â¥2013-04-09 20:03:18
|
|
|
Î÷½ÔÂÌÕÖ칫½û³æ (ÖøÃûдÊÖ) |
|
|
|
3Â¥2017-07-29 01:41:04
|
|
|
С±¦ÌìÏÂгæ (СÓÐÃûÆø)
|
¡¾´ð°¸¡¿Ó¦Öú»ØÌû
|
|
|
4Â¥2020-12-03 22:07:55
|
|
|
С±¦ÌìÏÂгæ (СÓÐÃûÆø)
|
¡¾´ð°¸¡¿Ó¦Öú»ØÌû
|
|
|
5Â¥2020-12-03 22:11:38
|
|














»Ø¸´´ËÂ¥