| ²é¿´: 1328 | »Ø¸´: 5 | ||
lijiadong22ľ³æ (СÓÐÃûÆø)
|
[ÇóÖú]
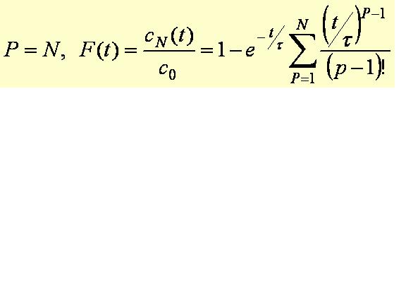
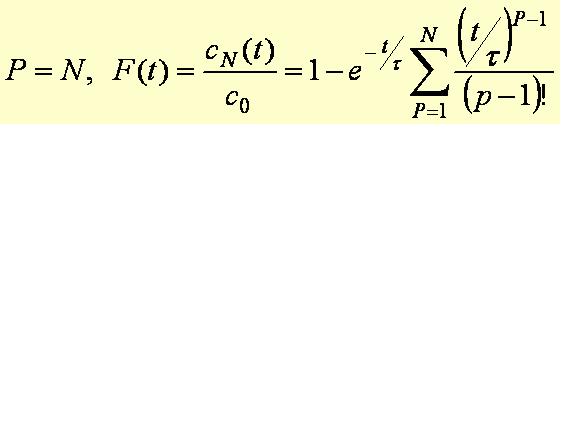
¶à¼¶´®ÁªÈ«»ìÁ÷Í£Áôʱ¼äµÄ¼ÆËã
|
|
|
|
||
lijiadong22ľ³æ (СÓÐÃûÆø)
|
||
|
2Â¥2011-05-06 14:00:57
|
|
|
ZZLLJJ½ð³æ (ÕýʽдÊÖ)
|
¡¾´ð°¸¡¿Ó¦Öú»ØÌû
¡ï ¡ï ¡ï
ljason(½ð±Ò+1): лл½»Á÷Ó¦Öú£¬»¶Ó³£À´~~~ 2011-05-08 10:43:59 lijiadong22(½ð±Ò+1): 2011-05-08 10:52:39 mlnjut(½ð±Ò+2): »¶Ó½»Á÷~~ÒªÊÇÏÂÔØÏÂÀ´ÉÏ´«¾Í¸üºÃÁË 2011-05-08 22:19:29 |
|
![]() |
||
|
3Â¥2011-05-07 09:57:25
|
|
|
×íÏç³£¿Íľ³æ (ÖªÃû×÷¼Ò)
»ìÖ®
|
¡¾´ð°¸¡¿Ó¦Öú»ØÌû
¡ï
ljason(½ð±Ò+1): ÄÇÒ²µÃ˵˵Ôõô¸ö²ÅÐÐÂï¡£¹þ¹þ£¬×íÀÏ£¬¿ÉÒª·¢ÍþŶ¡£¹þ¹þ 2011-05-08 10:44:28 lijiadong22(½ð±Ò+1): 2011-05-08 10:52:46
|
|
![]() |
||
|
4Â¥2011-05-07 13:01:48
|
|
|
lijiadong22ľ³æ (СÓÐÃûÆø)
|
wanggch123: ÄãµãÒýÓûظ´×îºÃ£¬ÕâÑù²Å»áÌáʾ±ðÈËÄãÕâ¸öÌû×Ó£¬±ðÈ˲ŻáÖªµÀÀ´ÕâÀï»á¿´µÄ¡£²ÅÄܸüÓÐЧµØ°ïÖúÄã½â¾öÎÊÌ⣬ÄãÖ±½Ó»ØÌû£¬±ðÈËÊÇ¿´²»µ½µÄÍÛ¡£ 2011-05-08 10:57:21
|
|
|
5Â¥2011-05-08 10:53:14
|
|
|
×íÏç³£¿Íľ³æ (ÖªÃû×÷¼Ò)
»ìÖ®
|
||
![]() |
||
|
6Â¥2011-05-08 13:40:02
|
|














»Ø¸´´ËÂ¥
