| ²é¿´: 2032 | »Ø¸´: 6 | |||
liuronglinÌú³æ (ÖøÃûдÊÖ)
|
[½»Á÷]
ºÚÌå·øÉäwien¹«Ê½ºÍwienÎ»ÒÆ¶¨ÂÉÖеÄÒ»¸öÒÉÎÊ ÒÑÓÐ4È˲ÎÓë
|
|
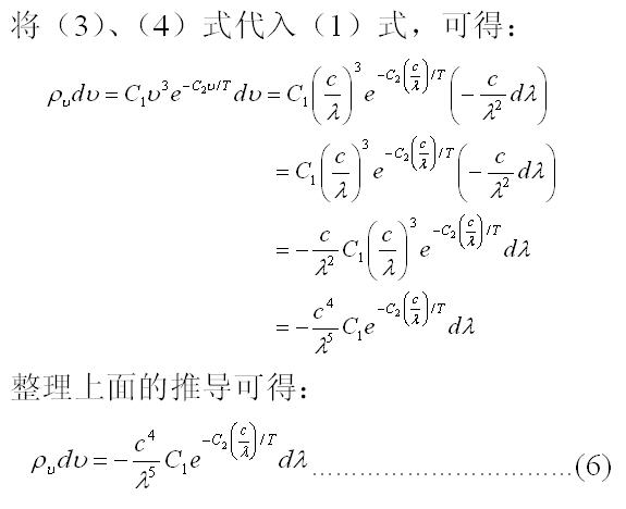
ÓÐWien¹«Ê½¿ÉÒÔÍÆµ¼³öWienÎ»ÒÆ¶¨Âɹ«Ê½£¬¾ßÌå¹ý³Ì¼û¸½¼þͼƬÄÚÈÝ¡£ ÇëÎÊΪʲô ¦Ñ¦Íd¦Í £½ - ¦Ñ¦Ëd¦Ë £¿ÕâÒ»µãÔõôÀí½â°¡£¬Çë´óÏÀ°ïæ½âÊÍһϠ|
» ²ÂÄãϲ»¶
085600²ÄÁÏÓ뻯¹¤301·ÖÇóµ÷¼ÁԺУ
ÒѾÓÐ5È˻ظ´
081700£¬311£¬Çóµ÷¼Á
ÒѾÓÐ15È˻ظ´
Ò»Ö¾Ô¸±±¾©»¯¹¤085600 310·ÖÇóµ÷¼Á
ÒѾÓÐ18È˻ظ´
²ÄÁÏÓ뻯¹¤371Çóµ÷¼Á
ÒѾÓÐ14È˻ظ´
336²ÄÁÏÓ뻯¹¤085600Çóµ÷¼Á
ÒѾÓÐ7È˻ظ´
²ÄÁÏ334Çóµ÷¼Á
ÒѾÓÐ18È˻ظ´
331Çóµ÷¼Á
ÒѾÓÐ8È˻ظ´
332Çóµ÷¼Á
ÒѾÓÐ17È˻ظ´
Ò»Ö¾Ô¸ÄϾ©º½¿Õº½Ìì´óѧ ²ÄÁÏÓ뻯¹¤329·ÖÇóµ÷¼Á
ÒѾÓÐ4È˻ظ´
²ÄÁÏר˶322
ÒѾÓÐ7È˻ظ´
» ±¾Ö÷ÌâÏà¹Ø¼ÛÖµÌùÍÆ¼ö£¬¶ÔÄúͬÑùÓаïÖú:
ÇóÆÕÀÊ¿ËÍÆµ¼ºÚÌå·øÉ乫ʽµÄ¹ý³Ì£¨Á¿×ÓÂÛ£©
ÒѾÓÐ7È˻ظ´
¡¾½»Á÷¡¿ÇëÎʺÚÌå¸úºÚÌå·øÉäÊÇÔõô»ØÊ£¿
ÒѾÓÐ13È˻ظ´

mljphy
Ìú³æ (ÕýʽдÊÖ)
- ÎïÀíEPI: 1
- Ó¦Öú: 5 (Ó×¶ùÔ°)
- ½ð±Ò: 758.5
- É¢½ð: 204
- ºì»¨: 7
- Ìû×Ó: 313
- ÔÚÏß: 90.3Сʱ
- ³æºÅ: 977325
- ×¢²á: 2010-03-21
- ÐÔ±ð: GG
- רҵ: Äý¾Û̬ÎïÐÔ II £ºµç×ӽṹ
¡ï
Сľ³æ(½ð±Ò+0.5):¸ø¸öºì°ü£¬Ð»Ð»»ØÌû
Сľ³æ(½ð±Ò+0.5):¸ø¸öºì°ü£¬Ð»Ð»»ØÌû
|
ÄãµÄÎÊÌâÓеãÎÊÌ⣿ Ó¦¸ÃÊÇ ¦Ëdv=-vd¦Ë £¬¶ø²»ÊÇvdv=-¦Ëd¦Ë ¿ÉÒÔÓÉv=c/¦ËÖ±½ÓÇóµ¼¶øµÃ¡£ |

2Â¥2011-05-04 08:52:22
liuronglin
Ìú³æ (ÖøÃûдÊÖ)
- Ó¦Öú: 0 (Ó×¶ùÔ°)
- ½ð±Ò: 198.4
- ºì»¨: 5
- Ìû×Ó: 1947
- ÔÚÏß: 175.1Сʱ
- ³æºÅ: 794907
- ×¢²á: 2009-06-15
- ÐÔ±ð: GG
- רҵ: °ëµ¼Ìå¹âµç×ÓÆ÷¼þ

3Â¥2011-05-04 12:04:15
ϦÑôÎ÷ÏÂ
½ð³æ (ÖøÃûдÊÖ)
- ÎïÀíEPI: 2
- Ó¦Öú: 138 (¸ßÖÐÉú)
- ¹ó±ö: 0.041
- ½ð±Ò: 9247.1
- É¢½ð: 73
- ºì»¨: 28
- ɳ·¢: 1
- Ìû×Ó: 1268
- ÔÚÏß: 1164.4Сʱ
- ³æºÅ: 220750
- ×¢²á: 2006-03-20
- רҵ: Äý¾Û̬ÎïÐÔ II £ºµç×ӽṹ
- ¹ÜϽ: ÎïÀí
¡ï
Сľ³æ(½ð±Ò+0.5):¸ø¸öºì°ü£¬Ð»Ð»»ØÌû
Сľ³æ(½ð±Ò+0.5):¸ø¸öºì°ü£¬Ð»Ð»»ØÌû
|
¦Ñ¦Íd¦Í £½ - ¦Ñ¦Ëd¦Ë ÕâÀïÃæµÄ¦Ñ¦ÍÓë¦Ñ¦ËÖ¸µÄÊǦÑÔÚVÓë¦Ë·½ÏòµÄͶӰ£¬d¦Í=-c/¦Ë2d¦Ë,Ò²¾ÍÊÇ˵ d¦ÍÓëd¦ËÖ®¼äÏà²îÒ»¸ö¸ººÅ£¬ÆäϵÊýc/¦Ë2¿ÉÒԹ鲢µ½¦ÑÔÚ¦ËͶӰÀïÒ²¾ÍÊǦѦËÀï¡£ |
4Â¥2011-05-04 12:16:41
liuronglin
Ìú³æ (ÖøÃûдÊÖ)
- Ó¦Öú: 0 (Ó×¶ùÔ°)
- ½ð±Ò: 198.4
- ºì»¨: 5
- Ìû×Ó: 1947
- ÔÚÏß: 175.1Сʱ
- ³æºÅ: 794907
- ×¢²á: 2009-06-15
- ÐÔ±ð: GG
- רҵ: °ëµ¼Ìå¹âµç×ÓÆ÷¼þ

5Â¥2011-05-04 12:55:49
G_BOY
ÖÁ×ðľ³æ (ÖøÃûдÊÖ)
С±¿³æ
- Ó¦Öú: 5 (Ó×¶ùÔ°)
- ½ð±Ò: 24155.3
- ºì»¨: 3
- Ìû×Ó: 2485
- ÔÚÏß: 82.4Сʱ
- ³æºÅ: 1974560
- ×¢²á: 2012-09-04
- רҵ: µçÄÜ´¢´æÓë½Úµç¼¼Êõ

6Â¥2014-09-07 19:21:14
mary19931115
гæ (³õÈëÎÄ̳)
- Ó¦Öú: 0 (Ó×¶ùÔ°)
- ½ð±Ò: 9
- Ìû×Ó: 3
- ÔÚÏß: 3.7Сʱ
- ³æºÅ: 3058382
- ×¢²á: 2014-03-16
- רҵ: ÐÇϵºÍÀàÐÇÌå
7Â¥2014-09-30 12:43:42














»Ø¸´´ËÂ¥