| 查看: 1151 | 回复: 5 | ||
ww1987铁杆木虫 (小有名气)
|
[求助]
AIM分析求助
|
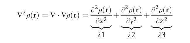
| 本人用AIM2000分析BCP处的拓扑性质,结果得出该BCP处的拉普拉斯量与3个本证值之和不相等 这是为什么??? |
» 猜你喜欢
海南大学全国重点实验室杨金霖老师招收储能电池方向博士生(2026年3月报名,9月入学)
已经有2人回复
海南师范大学2026年博士研究生招收 (在职想提升学历人员可报考) 申请考核制+普通招考
已经有1人回复
物理化学论文润色/翻译怎么收费?
已经有256人回复
诚邀有志之士加入江苏大学环境学院合成生物学课题组!(长期接收学硕专硕、硕博连读)
已经有16人回复
JACS投稿
已经有0人回复
26年储能、电池方向博士申请
已经有1人回复
中科院深圳先进技术研究院成会明院士/唐永炳杰青团队拟招聘博士后若干名。
已经有11人回复
考研调剂
已经有1人回复
304求调剂
已经有1人回复
大连工业大学杰青/长江团队招收储能电池方向博士
已经有13人回复
0856求调剂285
已经有6人回复
» 本主题相关价值贴推荐,对您同样有帮助:
【求助】优化:怎样找到一个两个分子之间的相对位置
已经有26人回复
【求助】电子密度问题-如何回答评审人的问题?急啊
已经有10人回复
【求助】希望大家帮我分析下原因
已经有10人回复
【求助】如何将Gaussian输出文件导入AIM2000中?
已经有10人回复
【求助】化学键的重叠布居数分析
已经有6人回复
【求助】急切请教大侠AIM 2000 结果分析电荷密度问题,多谢
已经有17人回复
ly958
木虫 (正式写手)
- 应助: 1 (幼儿园)
- 金币: 5354.7
- 散金: 76
- 红花: 2
- 帖子: 445
- 在线: 383.8小时
- 虫号: 516964
- 注册: 2008-03-03
- 专业: 碳素材料与超硬材料
2楼2011-05-09 10:44:06
zmcommon
木虫 (小有名气)
- 应助: 0 (幼儿园)
- 金币: 1685.3
- 红花: 1
- 帖子: 145
- 在线: 53.6小时
- 虫号: 990007
- 注册: 2010-04-06
- 性别: MM
- 专业: 理论和计算化学
3楼2011-05-09 12:30:24
ww1987
铁杆木虫 (小有名气)
- 应助: 0 (幼儿园)
- 金币: 6781.7
- 散金: 4
- 帖子: 168
- 在线: 310.1小时
- 虫号: 658113
- 注册: 2008-11-19
- 性别: GG
- 专业: 理论和计算化学
4楼2011-05-14 08:45:19
zmcommon
木虫 (小有名气)
- 应助: 0 (幼儿园)
- 金币: 1685.3
- 红花: 1
- 帖子: 145
- 在线: 53.6小时
- 虫号: 990007
- 注册: 2010-04-06
- 性别: MM
- 专业: 理论和计算化学
5楼2011-05-14 15:05:27
ww1987
铁杆木虫 (小有名气)
- 应助: 0 (幼儿园)
- 金币: 6781.7
- 散金: 4
- 帖子: 168
- 在线: 310.1小时
- 虫号: 658113
- 注册: 2008-11-19
- 性别: GG
- 专业: 理论和计算化学
6楼2011-05-15 00:15:07













回复此楼
10