| 查看: 198 | 回复: 1 | |
fxdmfans铁杆木虫 (正式写手)
|
[求助]
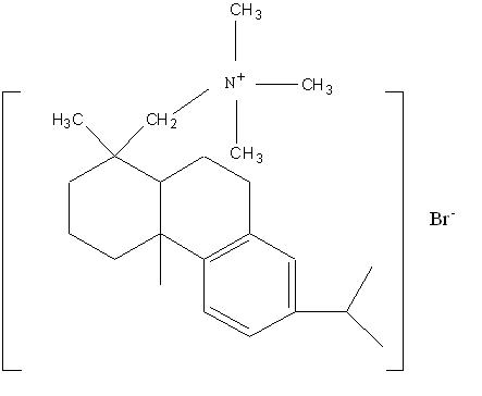
请大家哪位帮查查有没有该结构
|
|
|
|
wsht212荣誉版主 (文学泰斗)
江湖浪子之飞天
|
|
|
2楼2011-04-21 13:36:23
|
|












回复此楼