版块导航
正在加载中...
客户端APP下载
论文辅导
调剂小程序
登录
注册
帖子
帖子
用户
本版
应《网络安全法》要求,自2017年10月1日起,未进行实名认证将不得使用互联网跟帖服务。为保障您的帐号能够正常使用,请尽快对帐号进行手机号验证,感谢您的理解与支持!
24小时热门版块排行榜
>
论坛更新日志
(1412)
>
虫友互识
(130)
>
论文投稿
(32)
>
公派出国
(29)
>
考博
(26)
>
考研
(19)
>
导师招生
(18)
>
教师之家
(18)
>
找工作
(18)
>
博后之家
(17)
>
硕博家园
(17)
>
休闲灌水
(17)
>
基金申请
(12)
>
论文道贺祈福
(11)
>
文献求助
(7)
>
晶体
(5)
小木虫论坛-学术科研互动平台
»
计算模拟区
»
仿真模拟
»
MATLAB
»
【求助】求教一非线性拟合的问题
8
1/1
返回列表
查看: 941 | 回复: 7
只看楼主
@他人
存档
新回复提醒
(忽略)
收藏
在APP中查看
wittystar
铜虫
(小有名气)
应助: 0
(幼儿园)
金币: 763
帖子: 163
在线: 284.3小时
虫号: 955907
[交流]
【求助】求教一非线性拟合的问题
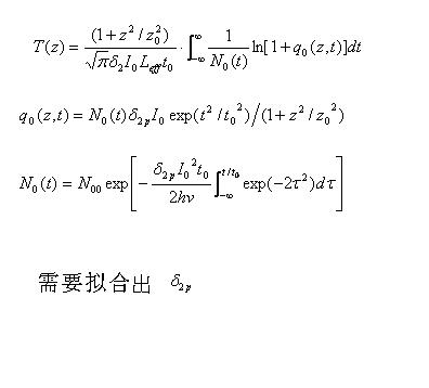
问一个非线性拟合的问题
有一个表达式中含有有一个不可积的积分,且积分函数里有我所想拟合的参数。那么怎么通过这个表达式拟合实验数据得到这个参数呢?
回复此楼
» 猜你喜欢
售SCI一区文章,我:8 O5 51O 54,科目齐全,可+急
已经有6人回复
售SCI一区文章,我:8 O5 51O 54,科目齐全,可+急
已经有10人回复
售SCI一区文章,我:8 O5 51O 54,科目齐全,可+急
已经有8人回复
售SCI一区文章,我:8 O5 51O 54,科目齐全,可+急
已经有10人回复
售SCI一区文章,我:8 O5 51O 54,科目齐全,可+急
已经有11人回复
依托企业入选了国家启明计划青年人才。有无高校可以引进的。
已经有14人回复
表哥与省会女结婚,父母去帮带孩子被省会女气回家生重病了
已经有11人回复
江汉大学解明教授课题组招博士研究生/博士后
已经有3人回复
AI 太可怕了,写基金时,提出想法,直接生成的文字比自己想得深远,还有科学性
已经有11人回复
同年申请2项不同项目,第1个项目里不写第2个项目的信息,可以吗
已经有10人回复
高级回复
» 本主题相关价值贴推荐,对您同样有帮助:
matlab非线性参数拟合问题
已经有7人回复
请教一个数据非线性拟合的问题
已经有11人回复
关于origin里面的非线性拟合的问题
已经有6人回复
实验数据的数学模型构建、曲线拟合方面问题求助
已经有6人回复
求助非线性拟合问题
已经有5人回复
求助origin高手 非线性拟合问题
已经有6人回复
【求助】E-V曲线晶体状态方程拟合问题
已经有8人回复
请教关于曲线拟合的问题
已经有1人回复
【求助】origin曲线拟合问题
已经有2人回复
请教关于origin中自定义函数非线性回归拟合问题!
已经有10人回复
» 抢金币啦!回帖就可以得到:
查看全部散金贴
医学超声影像负责人招聘-中国科学院赣江创新研究院
+
1
/980
西湖大学拓扑光学、非厄米光学、太赫兹方向博士后招聘
+
2
/250
西湖大学2026年秋季入学物理学、光学、电子信息方向博士生有名额速来!!!
+
2
/248
澳洲西澳大学Dr Yiran Liu招全额奖学金和CSC奖学金博士生(3.8万澳币/年)
+
1
/105
陆军军医大学第二附属医院(新桥医院)冉茜课题组招聘科研人员
+
1
/88
江西理工大学联合中国科学院赣江创新研究院招收2026级博士研究生
+
1
/82
好玩的不敢搞,能搞的不挣钱,能挣钱的我不会做
+
1
/66
罗格斯大学纽瓦克校区(Rutgers-Newark) 招收 PHD,计算材料物理方向
+
1
/36
有没有人做过这种结构的顺式体向反式体的转化?
+
1
/34
湖南大学袁达飞课题组招收第二批2026年9月入学的博士研究生一名
+
1
/26
华南师范大学(211)- 光电科学与工程学院 - 申请审核制(2026年4-5月份面试考核)
+
2
/16
香港中文大学(深圳)陈筱萌 课题组招生公告(博士 / 博后 / 硕士 / RA)
+
1
/15
中科院深圳先进技术研究院招联培学生 -- 多中心大队列数据已就绪,助你快车道产出成果
+
1
/9
上海工程技术大学张培磊教授团队招收博士生
+
1
/7
澳门理工大学 2026 Fall 奖学金博士招生 (AI药物与蛋白质设计,干湿结合)
+
1
/7
香港中文大学(深圳)陈筱萌 课题组招生公告(博士 / 博后 / 硕士 / RA)
+
1
/4
澳科大药学院诚招2026年秋季药剂学/生物材料硕士研究生(2026年3月5日报名截止)
+
1
/4
【科研助理招聘-北京理工大学-集成电路与电子学院-国家杰青团队】
+
1
/3
【经验分享】CRISPR基因敲除细胞系构建全流程踩坑指南——从递送方式选择到克隆筛选
+
1
/2
大连海事大学船舶洁净能源研究中心2026年博士研究生招生启事
+
1
/1
1楼
2011-04-15 20:23:33
已阅
回复此楼
关注TA
给TA发消息
送TA红花
TA的回帖
wittystar
铜虫
(小有名气)
应助: 0
(幼儿园)
金币: 763
帖子: 163
在线: 284.3小时
虫号: 955907
自顶一下,虫友们,请把我解决这个问题
赞
一下
回复此楼
2楼
2011-04-15 20:28:21
已阅
回复此楼
关注TA
给TA发消息
送TA红花
TA的回帖
wittystar
铜虫
(小有名气)
应助: 0
(幼儿园)
金币: 763
帖子: 163
在线: 284.3小时
虫号: 955907
我是刚刚接触了matlab,还不熟悉,希望有人帮我
赞
一下
回复此楼
3楼
2011-04-15 20:29:46
已阅
回复此楼
关注TA
给TA发消息
送TA红花
TA的回帖
forcal
禁虫
(初入文坛)
★
wittystar(金币
+1
):谢谢参与
wittystar(金币+1): 谢谢你的热情回复 2011-04-17 21:38:46
本帖内容被屏蔽
4楼
2011-04-15 20:54:15
已阅
回复此楼
关注TA
给TA发消息
送TA红花
TA的回帖
QiChyi
银虫
(初入文坛)
应助: 0
(幼儿园)
金币: 407.3
帖子: 13
在线: 6.6小时
虫号: 1245659
★ ★
wittystar(金币
+1
):谢谢参与
xiegangmai(金币+1): 谢谢应助! 2011-04-15 21:49:10
wittystar(金币+1): 谢谢你的热情回复 2011-04-17 21:38:57
wittystar(金币+1): 谢谢你的热情回复 2011-04-17 21:39:13
Matlab有拟合工具箱cftool,还有一些例如高斯法、牛顿法等等
此外,还可考虑对原始公式或数据稍作处理,再考虑拟合!
鄙人最近也是被拟合整惨了,LZ可以试试上述思想,看看得行不
赞
一下
(2人)
回复此楼
5楼
2011-04-15 21:02:45
已阅
回复此楼
关注TA
给TA发消息
送TA红花
TA的回帖
wittystar
铜虫
(小有名气)
应助: 0
(幼儿园)
金币: 763
帖子: 163
在线: 284.3小时
虫号: 955907
★
xiegangmai(金币+1): 鼓励讨论交流! 2011-04-15 21:49:24
wittystar(金币+1):谢谢参与
Matlab有拟合工具箱cftool,还有一些例如高斯法、牛顿法等等
此外,还可考虑对原始公式或数据稍作处理,再考虑拟合!
鄙人最近也是被拟合整惨了,LZ可以试试上述思想,看看得行不
------------------------------------------------------------
用cftool处理不了,这里面关键有个积分。要是一般的表达式就好弄了
赞
一下
(1人)
回复此楼
6楼
2011-04-15 21:32:05
已阅
回复此楼
关注TA
给TA发消息
送TA红花
TA的回帖
njtigers
禁虫
(小有名气)
★
wittystar(金币
+1
):谢谢参与
本帖内容被屏蔽
7楼
2011-04-23 21:16:05
已阅
回复此楼
关注TA
给TA发消息
送TA红花
TA的回帖
njtigers
禁虫
(小有名气)
本帖内容被屏蔽
8楼
2011-05-28 13:55:45
已阅
回复此楼
关注TA
给TA发消息
送TA红花
TA的回帖
相关版块跳转
第一性原理
量子化学
计算模拟
分子模拟
仿真模拟
程序语言
我要订阅楼主
wittystar
的主题更新
8
1/1
返回列表
如果回帖内容含有宣传信息,请如实选中。否则帐号将被全论坛禁言
普通表情
龙
兔
虎
猫
高级回复
(可上传附件)
百度网盘
|
360云盘
|
千易网盘
|
华为网盘
在新窗口页面中打开自己喜欢的网盘网站,将文件上传后,然后将下载链接复制到帖子内容中就可以了。
信息提示
关闭
请填处理意见
关闭
确定