24小时热门版块排行榜    

北京石油化工学院2026年研究生招生接收调剂公告
查看: 3100  |  回复: 25

cl200403

铜虫 (小有名气)


[交流] 【讨论】电滞回线形貌的讨论

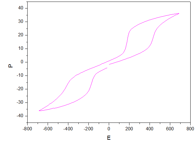
本来材料在测试温度范围时是属于反铁电相结构,但是测出的电滞回线确是表现出不饱和的现象规律,请各位虫子不吝赐教,要是有相关资料的给小虫我介绍下,面临论文盲审,现象解释方面不能有大的漏洞啊
回复此楼

» 猜你喜欢

» 本主题相关商家推荐: (我也要在这里推广)

» 本主题相关价值贴推荐,对您同样有帮助:

» 抢金币啦!回帖就可以得到:

查看全部散金贴

已阅   回复此楼   关注TA 给TA发消息 送TA红花 TA的回帖

diwunju

铁杆木虫 (正式写手)


★ ★
cl200403(金币+1):谢谢参与
Missile521(金币+1): 鼓励交流! 2011-04-12 09:21:08
引用回帖:
Originally posted by cl200403 at 2011-04-11 23:19:54:
本来材料在测试温度范围时是属于反铁电相结构,但是测出的电滞回线确是表现出不饱和的现象规律,请各位虫子不吝赐教,要是有相关资料的给小虫我介绍下,面临论文盲审,现象解释方面不能有大的漏洞啊

信息太少了,讨论不起来。怎么不饱和?有点反铁电的样子吗?极化值合理吗?最有可能漏电掩盖了一切。
2楼2011-04-12 08:34:50
已阅   回复此楼   关注TA 给TA发消息 送TA红花 TA的回帖

helena-yi

金虫 (职业作家)



cl200403(金币+1):谢谢参与
额,,,,不明白
3楼2011-04-12 09:04:24
已阅   回复此楼   关注TA 给TA发消息 送TA红花 TA的回帖

cl200403

铜虫 (小有名气)


引用回帖:
Originally posted by diwunju at 2011-04-12 08:34:50:
信息太少了,讨论不起来。怎么不饱和?有点反铁电的样子吗?极化值合理吗?最有可能漏电掩盖了一切。

没有一点反铁电的样子,就是刚开始的配方还比较饱和,后来随着配方改变直接变成线性直线了,但是介电谱却显示是处于反铁电区
4楼2011-04-12 13:44:42
已阅   回复此楼   关注TA 给TA发消息 送TA红花 TA的回帖

cl200403

铜虫 (小有名气)


引用回帖:
Originally posted by diwunju at 2011-04-12 08:34:50:
信息太少了,讨论不起来。怎么不饱和?有点反铁电的样子吗?极化值合理吗?最有可能漏电掩盖了一切。

极化值是指加的电压么?你有没有QQ啊,我可以给你上图,在小木虫上不会
5楼2011-04-12 13:46:37
已阅   回复此楼   关注TA 给TA发消息 送TA红花 TA的回帖

cl200403

铜虫 (小有名气)


引用回帖:
Originally posted by helena-yi at 2011-04-12 09:04:24:
额,,,,不明白

是我说的不好还是?
6楼2011-04-12 13:53:41
已阅   回复此楼   关注TA 给TA发消息 送TA红花 TA的回帖

helena-yi

金虫 (职业作家)


引用回帖:
Originally posted by cl200403 at 2011-04-12 13:53:41:
是我说的不好还是?

不是

小妹不才。@#¥%  本来就不懂
7楼2011-04-12 13:54:49
已阅   回复此楼   关注TA 给TA发消息 送TA红花 TA的回帖

xmhyingyu

至尊木虫 (文坛精英)



cl200403(金币+1):谢谢参与
Missile521: 警告:对于悬赏金币求助帖禁止刷帖,下不为例!否则扣金币! 2011-04-18 20:49:02
bless!
9楼2011-04-12 14:14:00
已阅   回复此楼   关注TA 给TA发消息 送TA红花 TA的回帖

9319484

银虫 (小有名气)



cl200403(金币+1):谢谢参与
信息量太少了,请把回线图贴出来看看,具体是什么体系的材料,单晶,陶瓷还是薄膜?
12楼2011-04-13 17:54:00
已阅   回复此楼   关注TA 给TA发消息 送TA红花 TA的回帖

cl200403

铜虫 (小有名气)


引用回帖:
Originally posted by 9319484 at 2011-04-13 17:54:00:
信息量太少了,请把回线图贴出来看看,具体是什么体系的材料,单晶,陶瓷还是薄膜?

陶瓷,有没有别的途径?偶老板也是混木虫的
13楼2011-04-14 20:41:35
已阅   回复此楼   关注TA 给TA发消息 送TA红花 TA的回帖

In210

银虫 (小有名气)



cl200403(金币+1):谢谢参与
引用回帖:
Originally posted by helena-yi at 2011-04-12 09:04:24:
额,,,,不明白

加图说下吧,介电谱和电滞回线
15楼2011-04-18 20:31:43
已阅   回复此楼   关注TA 给TA发消息 送TA红花 TA的回帖

In210

银虫 (小有名气)


引用回帖:
Originally posted by cl200403 at 2011-04-12 13:44:42:
没有一点反铁电的样子,就是刚开始的配方还比较饱和,后来随着配方改变直接变成线性直线了,但是介电谱却显示是处于反铁电区

加图说下吧,介电谱和电滞回线
16楼2011-04-18 20:32:24
已阅   回复此楼   关注TA 给TA发消息 送TA红花 TA的回帖

yuli000331

金虫 (正式写手)



cl200403(金币+1):谢谢参与
你们电滞回线在哪测的啊!!!
17楼2011-12-20 02:14:43
已阅   回复此楼   关注TA 给TA发消息 送TA红花 TA的回帖

267408906

木虫 (小有名气)



cl200403(金币+1):谢谢参与
反铁电本来在成分上较难控制,既然回线没有一点反铁电样子,个人觉得是不是可以重新制个样再测试试 我也出现过类似情况 每次制的步骤是一样的 但确实经过几次制样才得到较明显的双电滞回线
18楼2011-12-20 08:52:54
已阅   回复此楼   关注TA 给TA发消息 送TA红花 TA的回帖

pcsmine

木虫 (著名写手)



cl200403(金币+1):谢谢参与
引用回帖:
18楼: Originally posted by 267408906 at 2011-12-20 08:52:54:
反铁电本来在成分上较难控制,既然回线没有一点反铁电样子,个人觉得是不是可以重新制个样再测试试 我也出现过类似情况 每次制的步骤是一样的 但确实经过几次制样才得到较明显的双电滞回线

你的双电滞回线很明显么?我做的材料测的电滞回线有一点这个感觉,还有没有其它数据能证明是反铁电啊?


19楼2011-12-20 16:15:05
已阅   回复此楼   关注TA 给TA发消息 送TA红花 TA的回帖

pcsmine

木虫 (著名写手)


引用回帖:
18楼: Originally posted by 267408906 at 2011-12-20 08:52:54:
反铁电本来在成分上较难控制,既然回线没有一点反铁电样子,个人觉得是不是可以重新制个样再测试试 我也出现过类似情况 每次制的步骤是一样的 但确实经过几次制样才得到较明显的双电滞回线

你的双电滞回线很明显么?我做的材料测的电滞回线有一点这个感觉,还有没有其它数据能证明是反铁电啊?


» 本帖已获得的红花(最新10朵)

20楼2011-12-20 16:15:26
已阅   回复此楼   关注TA 给TA发消息 送TA红花 TA的回帖

267408906

木虫 (小有名气)


引用回帖:
20楼: Originally posted by pcsmine at 2011-12-20 16:15:26:
你的双电滞回线很明显么?我做的材料测的电滞回线有一点这个感觉,还有没有其它数据能证明是反铁电啊?


从它的C-V 也可以测出啊 或者ε-E均可啊  ~~





21楼2011-12-21 14:14:51
已阅   回复此楼   关注TA 给TA发消息 送TA红花 TA的回帖

pcsmine

木虫 (著名写手)


引用回帖:
21楼: Originally posted by 267408906 at 2011-12-21 14:14:51:

从它的C-V 也可以测出啊 或者ε-E均可啊  ~~


我做的是薄膜,加低电压时有一点点双电滞回线的样子,电压加高一些,就没有了,和一般的电滞回线差不多,这是为什么?
另外C-V或者ε-E图上有什么特点就能说明是反铁电呢?
22楼2011-12-21 21:51:16
已阅   回复此楼   关注TA 给TA发消息 送TA红花 TA的回帖

267408906

木虫 (小有名气)


引用回帖:
22楼: Originally posted by pcsmine at 2011-12-21 21:51:16:
我做的是薄膜,加低电压时有一点点双电滞回线的样子,电压加高一些,就没有了,和一般的电滞回线差不多,这是为什么?
另外C-V或者ε-E图上有什么特点就能说明是反铁电呢?

我的也是薄膜
加低电压有点反铁样子的话,估计是成分落在了反铁电相区里,但离铁电-反铁电相界很近,相转变开关很小,所以在只有在加低电压就由反铁电相变成铁电相,其实是反铁电不明显的表现。所以,估计要么重新做个膜试试,要么就重新做个胶吧 我的之前也出现过这种情况  后来重新做了,却有了明显的双回线,至于问题出在哪  一时也不知道 步骤都是一样来的。。
C-V和 ε-E表现出如图的四个峰 就说明是反铁电相了
23楼2011-12-23 09:47:39
已阅   回复此楼   关注TA 给TA发消息 送TA红花 TA的回帖

大脸壳壳猫

铁虫 (正式写手)



小木虫: 金币+0.5, 给个红包,谢谢回帖
引用回帖:
23楼: Originally posted by 267408906 at 2011-12-23 09:47:39
我的也是薄膜
加低电压有点反铁样子的话,估计是成分落在了反铁电相区里,但离铁电-反铁电相界很近,相转变开关很小,所以在只有在加低电压就由反铁电相变成铁电相,其实是反铁电不明显的表现。所以,估计要么重新 ...

请问一下,为什么“C-V和 ε-E表现出如图的四个峰 就说明是反铁电相了”?有哪本书或者哪一类文献可以作为hard evidence吗?真的很想知道。。。。
24楼2013-11-04 19:22:34
已阅   回复此楼   关注TA 给TA发消息 送TA红花 TA的回帖

hello_Jzz

银虫 (小有名气)



小木虫: 金币+0.5, 给个红包,谢谢回帖
送红花一朵
引用回帖:
20楼: Originally posted by pcsmine at 2011-12-20 16:15:26
你的双电滞回线很明显么?我做的材料测的电滞回线有一点这个感觉,还有没有其它数据能证明是反铁电啊?

...

请问这个图示怎么做出来的呀?是什么体系?横纵坐标都是什么呀?
谢谢您了!
25楼2015-11-04 22:20:09
已阅   回复此楼   关注TA 给TA发消息 送TA红花 TA的回帖

hello_Jzz

银虫 (小有名气)



小木虫: 金币+0.5, 给个红包,谢谢回帖
送红花一朵
引用回帖:
20楼: Originally posted by pcsmine at 2011-12-20 16:15:26
你的双电滞回线很明显么?我做的材料测的电滞回线有一点这个感觉,还有没有其它数据能证明是反铁电啊?

...

请问这个图示怎么做出来的呀?是什么体系?横纵坐标都是什么呀?
谢谢您了!
26楼2015-11-04 22:25:58
已阅   回复此楼   关注TA 给TA发消息 送TA红花 TA的回帖
简单回复
2011-04-12 13:58   回复  
cl200403(金币+1):谢谢参与
Missile521: 警告:对于悬赏金币求助帖禁止刷帖,下不为例!否则扣金币! 2011-04-18 20:48:56
维维Vivi10楼
2011-04-12 14:25   回复  
cl200403(金币+1):谢谢参与
Missile521: 警告:对于悬赏金币求助帖禁止刷帖,下不为例!否则扣金币! 2011-04-18 20:49:08
陈楹楹11楼
2011-04-12 14:53   回复  
cl200403(金币+1):谢谢参与
abooo: 请积极进行讨论,不要只发表情哦! 2011-04-18 20:35:48
931948414楼
2011-04-14 21:01   回复  
引用回帖:
Originally posted by cl200403 at 2011-04-14 20:41:35: 陶瓷,有没有别的途径?偶老板也是混木虫的

发 [ Last edited by 9319484 on 2011-4-14 at 21:04 ]
相关版块跳转 我要订阅楼主 cl200403 的主题更新
普通表情 高级回复 (可上传附件)
最具人气热帖推荐 [查看全部] 作者 回/看 最后发表
[考研] 一志愿生物与医药,296分,求调剂 +11 66鹿 2026-04-03 13/650 2026-04-06 21:45 by 52305043001
[考研] 269电子信息求调剂,可转专业 +5 独酌wl 2026-04-06 5/250 2026-04-06 17:23 by 土木硕士招生
[考研] 求调剂 +8 张zic 2026-04-05 9/450 2026-04-06 13:03 by 猪会飞
[考研] 复试调剂 +5 asdasdassda 2026-04-05 5/250 2026-04-06 09:32 by dongzh2009
[考研] 085602调剂 初试总分335 +9 19123253302 2026-04-05 9/450 2026-04-06 06:14 by houyaoxu
[考研] 求调剂 +7 张.1 2026-04-05 7/350 2026-04-05 20:40 by 啵啵啵0119
[考研] 男生,一志愿沪9生物学071000,初试308求调剂 +3 刘墨墨 2026-04-04 3/150 2026-04-05 08:26 by barlinike
[考研] 材料调剂 +11 一样YWY 2026-04-02 13/650 2026-04-04 23:10 by 无际的草原
[考研] 可跨专业调剂 +3 周的得地 2026-04-04 6/300 2026-04-04 22:21 by barlinike
[考研] 环境285分,过六级,求调剂 +10 xhr12 2026-04-02 10/500 2026-04-04 21:53 by bn53987
[考研] 302求调剂一志愿华中师范大学 +8 小江小江江江 2026-04-02 8/400 2026-04-04 19:50 by 蓝云思雨
[考研] 292求调剂 +11 2022080213 2026-04-04 13/650 2026-04-04 18:38 by macy2011
[考研] 291求调剂 +4 迷蒙木木 2026-04-01 5/250 2026-04-04 15:59 by sihailian3
[考研] 调剂 +5 asdasdassda 2026-04-03 6/300 2026-04-03 20:27 by 岸上的一条鱼
[考研] 336求调剂 +8 kiyy 2026-04-01 8/400 2026-04-03 19:41 by lijunpoly
[考研] 一志愿北京交通大学材料工程总分358 +4 cs0106 2026-04-03 4/200 2026-04-03 13:41 by 百灵童888
[考研] 273求调剂 +20 李芷新1 2026-03-31 20/1000 2026-04-03 09:58 by linyelide
[考研] 化学工程专硕324分,一志愿中国矿业大学求调剂 +7 耿耿1314 2026-04-01 7/350 2026-04-02 07:40 by 尚水阁主
[考研] 286求调剂 +5 Sa67890. 2026-04-01 7/350 2026-04-01 19:50 by 6781022
[考研] 350求调剂 +7 阿佳~ 2026-03-31 7/350 2026-04-01 16:12 by yanflower7133
信息提示
请填处理意见