| 查看: 476 | 回复: 2 | ||
happywtt木虫 (正式写手)
|
[交流]
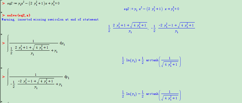
【求助】求助一道不定积分题,谢谢 已有2人参与
|
» 本主题相关价值贴推荐,对您同样有帮助:
求助:麻烦各位帮忙解答下面这道题目。谢谢。
已经有9人回复
求助几道高分子的考研题目,谢谢
已经有17人回复
求一道数学题的解答,方法不限。谢谢
已经有17人回复
【求助】一道求极限的题目
已经有8人回复
【求助】一道有机反应题目
已经有4人回复
【求助/交流】一道考研题,哪位高手给解答一下,谢谢!
已经有7人回复
【求助】一道物化选择题
已经有19人回复
【求助】一道有关界面化学的习题
已经有25人回复
【求助】请教高手解决一道行测问题 谢谢
已经有15人回复
【求助】请教一道数学题
已经有29人回复
【求助】一道初二物理竞赛题目求解,谢谢!
已经有7人回复
【求助】求高手们帮忙解几道有机的考研试题,谢谢~~
已经有15人回复
soliton923
铁杆木虫 (职业作家)
数学村村长
- 数学EPI: 1
- 应助: 36 (小学生)
- 贵宾: 0.565
- 金币: 4146.4
- 散金: 5275
- 红花: 72
- 沙发: 21
- 帖子: 3489
- 在线: 1501.2小时
- 虫号: 1005450
- 注册: 2010-04-25
- 性别: GG
- 专业: 数学物理

2楼2011-04-02 23:59:33
happywtt
木虫 (正式写手)
- 应助: 0 (幼儿园)
- 金币: 1396.1
- 散金: 505
- 红花: 3
- 帖子: 443
- 在线: 18.3小时
- 虫号: 740294
- 注册: 2009-04-04
- 性别: GG
- 专业: 概率论与随机分析
3楼2011-04-04 23:24:07













回复此楼
30