版块导航
正在加载中...
客户端APP下载
论文辅导
申博辅导
登录
注册
帖子
帖子
用户
本版
应《网络安全法》要求,自2017年10月1日起,未进行实名认证将不得使用互联网跟帖服务。为保障您的帐号能够正常使用,请尽快对帐号进行手机号验证,感谢您的理解与支持!
24小时热门版块排行榜
>
论坛更新日志
(2975)
>
虫友互识
(718)
>
文献求助
(156)
>
休闲灌水
(133)
>
导师招生
(132)
>
考博
(123)
>
教师之家
(79)
>
博后之家
(71)
>
硕博家园
(71)
>
找工作
(71)
>
论文投稿
(68)
>
论文道贺祈福
(64)
>
基金申请
(61)
>
考研
(54)
>
公派出国
(49)
>
招聘信息布告栏
(31)
小木虫论坛-学术科研互动平台
»
化学化工区
»
催化
»
表征
»
【求助】想请问下怎样解释我这两个氮气吸脱附图
5
1/1
返回列表
查看: 472 | 回复: 4
只看楼主
@他人
存档
新回复提醒
(忽略)
收藏
在APP中查看
cwqfei
至尊木虫
(著名写手)
应助: 46
(小学生)
金币: 11203.9
帖子: 2213
在线: 412.4小时
虫号: 1120339
[交流]
【求助】想请问下怎样解释我这两个氮气吸脱附图
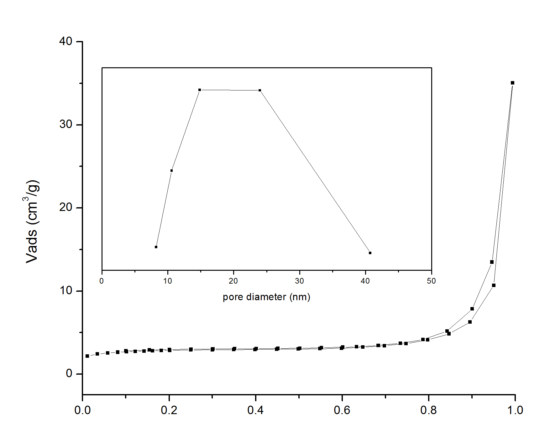
如图,滞后环拖得比较大,而且在较大压力下才出完,想请问下该怎么分析?是不是孔不大好啊,是堆积孔吗?
回复此楼
» 猜你喜欢
如何掌握一门外语?
已经有25人回复
国家级人才团体课题组招收2026届博士
已经有1人回复
专业论文润色/翻译怎么收费?
已经有254人回复
气相色谱点不着火
已经有4人回复
化工安全有关的复习提纲
已经有0人回复
国家级人才课题组招收2026年入学博士
已经有2人回复
散金
已经有88人回复
浙江师范大学国家杰青杨启华教授团队招收2026年博士研究生
已经有34人回复
南通大学电气与自动化学院2026年优秀博士招聘公告
已经有0人回复
高级回复
» 本主题相关价值贴推荐,对您同样有帮助:
请问,两条不同来源的DNA序列,相似度达到多少时,才可以判定为同源?
已经有8人回复
石灰石-石膏法烟气脱硫中的物料衡算和热量衡算
已经有91人回复
脱叔丁酯时碳正离子捕获剂的使用
已经有5人回复
脱TBS TMS中TBAF除去的问题
已经有13人回复
这个氮气吸附脱附曲线是属于哪一类
已经有9人回复
氮气吸附脱附等温线
已经有5人回复
氮气吸脱附曲线处理
已经有2人回复
氮气吸附脱附等温曲线分析
已经有5人回复
【求助】氮气吸脱附曲线不闭合
已经有15人回复
» 抢金币啦!回帖就可以得到:
查看全部散金贴
招收2026年春-申请考核博士生-仿生组装/生物能源方向
+
1
/176
哈尔滨工业大学王东博课题组/中科院上海微系统所梁丽娟课题组招收2026年博士生1名
+
1
/81
招聘:中国科学院山西煤炭化学研究所
+
1
/77
双一流南京医科大学招计算机、AI、统计、生物信息等方向26年9月入学博士
+
1
/74
哈尔滨工业大学王东博课题组/中科院上海微系统所梁丽娟课题组招收2026年博士生1名
+
1
/72
香港理工大学招收电力系统优化及运筹学博士后
+
1
/56
211双一流北京工业大学招计算机、AI、自动控制、电子信息等方向博士生(长期有效)
+
1
/42
中国科学院大连化学物理研究所-环境催化工程研究组(DNL 902组)事业编外项目聘用人员
+
2
/40
Win10系统Xshell窗口小、无法移动、不显示工具栏的一个解决办法
+
1
/38
智合健物课题组2026年博士生招生(湖北工业大学)
+
1
/33
昆士兰科技大学(QUT)博士招生信息 导师:李志勇教授
+
1
/32
26博士申请-药物化学方向
+
2
/28
坐标济南,山东农科院招 有机合成 or 药物化学 联培硕士研究生
+
1
/19
江西理工大学 稀土学院(发光材料与器件研究所) 招收2026届 材料类博士研究生 2名
+
2
/18
南京邮电大学-材料院尹超教授课题组-诚聘材料、化学、生物医学博士后(长期有效)
+
1
/9
山东理工大学资源与环境工程学院陶东平教授课题组招收2026级博士研究生
+
1
/9
武汉双一流高校干细胞与肿瘤生物学团队招聘2026级申请考核制博士生
+
1
/5
华中科技大学 煤燃烧全重 紧急招博士生报考 (1月19日截止)
+
1
/4
重庆大学诚招2026年生物材料方向博士生
+
1
/3
南京邮电大学材料科学与工程学院柔性电子研究所2026年招聘公告
+
1
/2
1楼
2011-03-14 18:03:54
已阅
回复此楼
关注TA
给TA发消息
送TA红花
TA的回帖
cwqfei
至尊木虫
(著名写手)
应助: 46
(小学生)
金币: 11203.9
帖子: 2213
在线: 412.4小时
虫号: 1120339
dy322112: 是堆积孔,材料中没有明显的孔结构,比表面不会大 2011-04-07 14:40:32
自己顶起来
回复此楼
2楼
2011-04-07 14:13:50
已阅
回复此楼
关注TA
给TA发消息
送TA红花
TA的回帖
wzz322
银虫
(小有名气)
应助: 2
(幼儿园)
金币: 941.8
帖子: 167
在线: 27.8小时
虫号: 860902
★
tangjy(金币+1): 感谢应助! 2011-04-15 21:27:21
图一中15~45nm孔分布图应该是堆积孔,图二孔分布应该是堆积孔,其余的我也不好判断,建议你做小角衍射
赞
一下
(1人)
回复此楼
3楼
2011-04-10 12:55:43
已阅
回复此楼
关注TA
给TA发消息
送TA红花
TA的回帖
chenjian3412
新虫
(小有名气)
应助: 0
(幼儿园)
金币: 4.2
帖子: 261
在线: 64.7小时
虫号: 969677
★
tangjy(金币+1): 感谢应助! 2011-04-15 21:27:40
你的是什么材料的,可以看出。你的孔的有序性不是很好,或许是堆积孔。另外,你的孔径分布是在太大了,这样不利于孔径对颗粒大小的控制,不利于对活性及选择性的考察。
赞
一下
(1人)
回复此楼
4楼
2011-04-10 13:02:12
已阅
回复此楼
关注TA
给TA发消息
送TA红花
TA的回帖
cwqfei
至尊木虫
(著名写手)
应助: 46
(小学生)
金币: 11203.9
帖子: 2213
在线: 412.4小时
虫号: 1120339
引用回帖:
Originally posted by
chenjian3412
at 2011-04-10 13:02:12:
你的是什么材料的,可以看出。你的孔的有序性不是很好,或许是堆积孔。另外,你的孔径分布是在太大了,这样不利于孔径对颗粒大小的控制,不利于对活性及选择性的考察。
谢谢啊,
回复此楼
5楼
2011-04-11 16:28:19
已阅
回复此楼
关注TA
给TA发消息
送TA红花
TA的回帖
相关版块跳转
有机交流
有机资源
高分子
无机/物化
分析
催化
工艺技术
化工设备
石油化工
精细化工
电化学
环境
SciFinder/Reaxys
我要订阅楼主
cwqfei
的主题更新
5
1/1
返回列表
如果回帖内容含有宣传信息,请如实选中。否则帐号将被全论坛禁言
普通表情
龙
兔
虎
猫
高级回复
(可上传附件)
百度网盘
|
360云盘
|
千易网盘
|
华为网盘
在新窗口页面中打开自己喜欢的网盘网站,将文件上传后,然后将下载链接复制到帖子内容中就可以了。
信息提示
关闭
请填处理意见
关闭
确定