24小时热门版块排行榜    

Znn3bq.jpeg
北京石油化工学院2026年研究生招生接收调剂公告
查看: 2671  |  回复: 9

天边彩云飞

捐助贵宾 (小有名气)


[交流] Origir 中已知数据画出曲线,能反求出曲线的表达式吗?

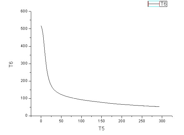
实验测得数据,根据数据画出曲线(如图所示),能根据已得曲线反求出曲线的数学表达式吗?
我这样做的目的是因为实测的有些数据有波动,需要拟合,但是软件中已有的拟合方式都不能真正反映出曲线的趋势,所以想由一条较好的曲线反求的表达式来拟合有波动的数据。
请知道的朋友指点下,如果不用反求而有更直接的解决办法的话也请指点下谢谢!
回复此楼

» 收录本帖的淘帖专辑推荐

新生代环境

» 猜你喜欢

» 本主题相关价值贴推荐,对您同样有帮助:

» 抢金币啦!回帖就可以得到:

查看全部散金贴

已阅   回复此楼   关注TA 给TA发消息 送TA红花 TA的回帖

锯木虫

铜虫 (小有名气)



dongdong3881(金币+1): 多谢指导 2011-03-12 21:25:06
天边彩云飞(金币+3): 谢谢,你提到的这个方法其实我也知道,主要问题是origin里的现有拟合方式都不能拟合得很好,所以它给出来的方程对我来说也没有多大意义的。 2011-03-15 10:23:46
能啊!根据你拟合时使用的算法,origin会给出方程的参数值,及方程类型,就可得到曲线的拟合方程!如使用三次方程拟合,会得到方程的四个参数:
A B C D .四个参数就知道可以唯一确定一个三次方程。
2楼2011-03-12 11:22:38
已阅   回复此楼   关注TA 给TA发消息 送TA红花 TA的回帖
天边彩云飞(金币+1): 谢谢 2011-03-15 10:23:57
楼上正解
3楼2011-03-12 21:25:09
已阅   回复此楼   关注TA 给TA发消息 送TA红花 TA的回帖

chenjinri

木虫 (著名写手)


我也想知道这个问题,头痛
4楼2011-03-24 00:57:07
已阅   回复此楼   关注TA 给TA发消息 送TA红花 TA的回帖
天边彩云飞(金币+3): 谢谢 2011-03-25 17:12:29
都是已知实验数据和方程表达形式,拟合方程未知参数的。
如果连方程表达式形式都不知道,随便抓一个趋势差不多的方程形式的话,那可多了。
有了表达形式,如果origin里没有现成的,可以自定义函数形式,具体怎么搞,有辅导书可参考,基本上都会讲。

[ Last edited by change0618 on 2011-3-24 at 13:14 ]
5楼2011-03-24 13:12:32
已阅   回复此楼   关注TA 给TA发消息 送TA红花 TA的回帖

kaizen123

木虫 (正式写手)


天边彩云飞(金币+3): 可以稍微详细的说一下吗?应用起来会不会很复杂?谢谢 2011-03-29 08:52:14
可以用数据拟合的方法解决
6楼2011-03-28 12:10:21
已阅   回复此楼   关注TA 给TA发消息 送TA红花 TA的回帖

xin_xiner

银虫 (小有名气)


天边彩云飞(金币+3): 谢谢,有机会的话交流下 2011-03-30 09:38:43
用自定义函数拟合;自己设置相类似的函数表达式进行拟合;具体细节我以前做过一些
7楼2011-03-29 11:22:05
已阅   回复此楼   关注TA 给TA发消息 送TA红花 TA的回帖

wenxiuxu

木虫 (小有名气)



小木虫: 金币+0.5, 给个红包,谢谢回帖
引用回帖:
7楼: Originally posted by xin_xiner at 2011-03-29 11:22:05
用自定义函数拟合;自己设置相类似的函数表达式进行拟合;具体细节我以前做过一些

你好,那在origin里面怎么自己定义函数呢,有没有详细的参考书可以看看,我现在正头疼这个。有实验数据和曲线,想得到表达式。如果您有相关的介绍能不能传我一份。
邮箱:star1993618@126.com
多谢了
8楼2013-07-11 15:51:40
已阅   回复此楼   关注TA 给TA发消息 送TA红花 TA的回帖

wanldcr

木虫 (正式写手)


★ ★
小木虫: 金币+0.5, 给个红包,谢谢回帖
fegg7502: 金币+1, 3ks,, 2013-07-16 14:20:58
在科研软件区有个讲origin的视频。里面很全,下下来看看就会了。非常好用
9楼2013-07-13 16:29:12
已阅   回复此楼   关注TA 给TA发消息 送TA红花 TA的回帖

dear笑盈盈

金虫 (小有名气)



小木虫: 金币+0.5, 给个红包,谢谢回帖
引用回帖:
9楼: Originally posted by wanldcr at 2013-07-13 16:29:12
在科研软件区有个讲origin的视频。里面很全,下下来看看就会了。非常好用

能不能给个链接啊,大神,我搜了一下真的有好多这方面的帖子,不知道哪一个是你说的那个视频
10楼2014-07-24 10:50:13
已阅   回复此楼   关注TA 给TA发消息 送TA红花 TA的回帖
相关版块跳转 我要订阅楼主 天边彩云飞 的主题更新
普通表情 高级回复 (可上传附件)
最具人气热帖推荐 [查看全部] 作者 回/看 最后发表
[考研] 求考研材料调剂 +3 材化李可 2026-04-07 3/150 2026-04-08 00:21 by JourneyLucky
[考研] 11408 325分 +3 jgtxuxgkx 2026-04-07 3/150 2026-04-07 23:10 by lbsjt
[考研] 材料调剂 +13 汉123456 2026-04-07 14/700 2026-04-07 22:53 by 来看流星雨10
[考研] 331求调剂 +5 张元一 2026-04-07 6/300 2026-04-07 22:13 by hemengdong
[考研] 0703总分331求调剂 +16 ZY-05 2026-04-04 20/1000 2026-04-07 18:00 by 蓝云思雨
[考研] 266分,一志愿电气工程,本科材料,求材料专业调剂 +9 哇呼哼呼哼 2026-04-02 10/500 2026-04-06 19:47 by jean5056
[考研] 材料专硕322分 +10 哈哈哈吼吼吼哈 2026-04-04 10/500 2026-04-05 21:22 by 学员8dgXkO
[考研] 288求调剂 一志愿哈工大 材料与化工 +13 洛神哥哥 2026-04-03 13/650 2026-04-05 17:27 by zzx2138
[考研] 283分求调剂 +7 小聂爱学习 2026-04-03 7/350 2026-04-04 21:51 by hemengdong
[考研] 301求调剂 +18 骆驼男人 2026-04-02 18/900 2026-04-04 20:33 by 蓝云思雨
[考研] 359求调剂 +7 hhhhaaaa$ 2026-04-04 7/350 2026-04-04 18:49 by imissbao
[考研] 考研调剂 +5 小sun要好运 2026-04-03 5/250 2026-04-03 21:43 by 啵啵啵0119
[考研] 295求调剂 +3 尚偌呀 2026-04-03 4/200 2026-04-03 21:23 by zhq0425
[考研] 372分材料与化工(085600)一志愿湖南大学求调剂 +3 蓝笺片 2026-04-03 4/200 2026-04-03 17:58 by Jimmyandyou
[考研] 081200-11408-276学硕求调剂 +5 崔wj 2026-04-03 5/250 2026-04-03 15:06 by arrow8852
[考研] 工科341分调剂 +3 洛多罗 2026-04-03 3/150 2026-04-03 14:20 by 1753564080
[考研] 071000生物学调剂 +8 知昭蔓 2026-04-02 8/400 2026-04-03 10:36 by macy2011
[考研] 260求调剂 +3 朱芷琳 2026-04-02 3/150 2026-04-03 08:44 by yulian1987
[考研] 一志愿大工学硕,求调剂 +4 yub0811 2026-04-02 4/200 2026-04-02 21:36 by 百灵童888
[考研] 环境工程调剂 +9 hyzzzzzzz. 2026-04-01 9/450 2026-04-01 14:20 by salamander`
信息提示
请填处理意见