Znn3bq.jpeg
ÉÇÍ·´óѧº£Ñó¿ÆÑ§½ÓÊܵ÷¼Á
²é¿´: 2379  |  »Ø¸´: 5
±¾Ìû²úÉú 1 ¸ö ²©Ñ§EPI £¬µã»÷ÕâÀï½øÐв鿴

É£ÀÖ89

гæ (ÕýʽдÊÖ)


[½»Á÷] Ïõ»ù±½µÄÏõ»ùÈÝÒ×±»Ç׺ËÈ¡´úÂð£¿

Ïõ»ù±½µÄÏõ»ùÈÝÒ×±»Ç׺ËÈ¡´úÂð£¿ÓÐÕâ·½ÃæµÄÎÄÏ××ÊÁÏÂð£¿
¿´Í¼£¬ÎÒÕâ¸ö·´Ó¦ÐèҪʲôÌõ¼þ°¡£¬ÓÐ×ö¹ýÀàËÆµÄÂð£¿

» ²ÂÄãϲ»¶

» ÇÀ½ð±ÒÀ²£¡»ØÌû¾Í¿ÉÒԵõ½:

²é¿´È«²¿É¢½ðÌù

ÒÑÔÄ   »Ø¸´´ËÂ¥   ¹Ø×¢TA ¸øTA·¢ÏûÏ¢ ËÍTAºì»¨ TAµÄ»ØÌû

296438006

Òø³æ (СÓÐÃûÆø)


É£ÀÖ89(½ð±Ò+4, ²©Ñ§EPI+1): 2011-03-06 14:31:53
»á°É£¡£¨1£©¶Ôλȡ´úÏõ»ù±½Óë±½ÒÒëæÈÝÒ×·¢ÉúÇ׺ËÈ¡´ú·´Ó¦£¡£¨2£©ÔÚ·¼Â±»·ÉϵÄÁÚ¶ÔλÉÏÓÐÏõ»ùʱ¿É·¢ÉúÇ׺ËÈ¡´ú·´Ó¦£¡£¨3£©https://zhidao.baidu.com/question/188377745.html
Ï£Íû»á¶ÔÄãÓаïÖú£¡
2Â¥2011-02-28 21:50:41
ÒÑÔÄ   »Ø¸´´ËÂ¥   ¹Ø×¢TA ¸øTA·¢ÏûÏ¢ ËÍTAºì»¨ TAµÄ»ØÌû
É£ÀÖ89(½ð±Ò+2): 2011-03-06 14:32:47
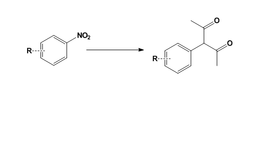
Ïõ»ù±½±¾ÉíÔÚ±½»·ÉÏ¿ÉÒÔ·¢ÉúÇ׺ËÈ¡´ú£¬¾ÍÏñÂ¥ÉϽ²µÄÄÇÑù¡£µ«Ïë°ÑÏõ»ùÈ¡´úÏÂÀ´ÊDz»Ì«¿ÉÄܵģ¬Ä¿Ç°ÎÄÏ×ÉÏҲûÕâÃæ×ÊÁÏ£¬ÒòΪÏõ»ùÓë±½»·Êǹ²éîµÄ£¬NÍâµÄµç×ÓÓë±½»·µÄµç×ÓÔÆ¹²éÄÜÁ¦ºÜÇ¿£¬»ù±¾ÎÞ·¨±»È¡´ú¡£ÉÏÃæµÄ·´Ó¦¿ÉÒÔ½øÐУ¬µ«ÐèÒªÏȰÑÏõ»ùת»¯³ÉNH2£¬ÔÚ°ÑËü¸øÂ±»¯¡£ÉÏÃæµÄ·´Ó¦ÊÇÒ»¸ö¿ËÀ³É­·´Ó¦£¬ÐèÒªµÄÔ­ÁÏÓÐÒÒõ£±ûͪ£¬»¹ÓоÍÊǸոÕ±»¯Á˵ı´ú±½£¬´ß»¯¼ÁÓÃÒÒ´¼ÄÆ
3Â¥2011-03-02 19:19:12
ÒÑÔÄ   »Ø¸´´ËÂ¥   ¹Ø×¢TA ¸øTA·¢ÏûÏ¢ ËÍTAºì»¨ TAµÄ»ØÌû

wangyeliu

ľ³æ (ÖøÃûдÊÖ)


É£ÀÖ89(½ð±Ò+1): 2011-03-06 14:32:54
Ïõ»ù²»»á±»ÇáÒ×È¡´úµô£¬µ«ÊÇÓÐÏõ»ùµÄ·¼Ïã»·ÉÏÊÇÇ׺ËÈ¡´úÓÐÀûµÄ£¬Ò²¼´¶ÔÇ×µçÈ¡´úÖ¶ۣ¬Ç׺ËÖ»
4Â¥2011-03-02 20:11:53
ÒÑÔÄ   »Ø¸´´ËÂ¥   ¹Ø×¢TA ¸øTA·¢ÏûÏ¢ ËÍTAºì»¨ TAµÄ»ØÌû

É£ÀÖ89

гæ (ÕýʽдÊÖ)


ÒýÓûØÌû:
Originally posted by ÍôÕñÖÒ at 2011-03-02 19:19:12:
Ïõ»ù±½±¾ÉíÔÚ±½»·ÉÏ¿ÉÒÔ·¢ÉúÇ׺ËÈ¡´ú£¬¾ÍÏñÂ¥ÉϽ²µÄÄÇÑù¡£µ«Ïë°ÑÏõ»ùÈ¡´úÏÂÀ´ÊDz»Ì«¿ÉÄܵģ¬Ä¿Ç°ÎÄÏ×ÉÏҲûÕâÃæ×ÊÁÏ£¬ÒòΪÏõ»ùÓë±½»·Êǹ²éîµÄ£¬NÍâµÄµç×ÓÓë±½»·µÄµç×ÓÔÆ¹²éÄÜÁ¦ºÜÇ¿£¬»ù±¾ÎÞ·¨±»È¡´ú¡£ÉÏÃæµÄ·´ ...

ллÁË£¬ÎÒÃ÷°×ÄãµÄÒâ˼£¬µ«Õâ¸ö·´Ó¦²»ÄÜͨ¹ý¿ËÀ³É­·´Ó¦½øÐеģ¬ÕýÈçÄãËù˵µÄÂÈÒ²»áÓë±½»·¹²é¶ÔÓÚÕâÖÖ¹²éîµÄ´æÔÚ£¬ÊDz»·ûºÏ¿ËÀ³É­·´Ó¦µÄ
5Â¥2011-03-02 20:44:05
ÒÑÔÄ   »Ø¸´´ËÂ¥   ¹Ø×¢TA ¸øTA·¢ÏûÏ¢ ËÍTAºì»¨ TAµÄ»ØÌû

lsynxw

ľ³æ (ÕýʽдÊÖ)


ÖØµª»¯¿ÉÒÔ×ö£¿
6Â¥2011-03-06 10:22:12
ÒÑÔÄ   »Ø¸´´ËÂ¥   ¹Ø×¢TA ¸øTA·¢ÏûÏ¢ ËÍTAºì»¨ TAµÄ»ØÌû
Ïà¹Ø°æ¿éÌø×ª ÎÒÒª¶©ÔÄÂ¥Ö÷ É£ÀÖ89 µÄÖ÷Ìâ¸üÐÂ
×î¾ßÈËÆøÈÈÌûÍÆ¼ö [²é¿´È«²¿] ×÷Õß »Ø/¿´ ×îºó·¢±í
[¿¼ÑÐ] 245Çóµ÷¼Á +3 ±ùÌÇéÙ?ÆûË® 2026-04-13 7/350 2026-04-13 16:42 by ±ùÌÇéÙ?ÆûË®
[¿¼ÑÐ] 271Çóµ÷¼Á +30 2261744733 2026-04-11 34/1700 2026-04-13 15:24 by Kilig0317
[¿¼ÑÐ] Ò»Ö¾Ô¸211 0703»¯Ñ§ 346·ÖÇóµ÷¼Á +26 ÍÁ¶¹er? 2026-04-09 29/1450 2026-04-13 15:15 by ¶À×íÃι³Ç
[¿¼ÑÐ] ʳƷÓëÓªÑø£¨0955£©271Çóµ÷¼Á +9 Éý¸ñ°¢´ï 2026-04-12 9/450 2026-04-13 14:12 by maddjdld
[¿¼ÑÐ] ¡£ +10 Àî¶àÃ×lee. 2026-04-12 11/550 2026-04-12 22:58 by yuyin1233
[¿¼ÑÐ] 307Çóµ÷¼Á +10 tzq94092 2026-04-10 10/500 2026-04-12 08:18 by wise999
[¿¼ÑÐ] 305Çóµ÷¼Á +7 Â꿨°Í¿¨boom 2026-04-11 7/350 2026-04-12 07:35 by zhouxiaoyu
[¿¼ÑÐ] »¯¹¤µ÷¼ÁÇóµ¼Ê¦ÊÕÁô£¡Ò»Ö¾Ô¸Ê§Àû£¬Ì¤Êµ¿Ï¸É£¬ÓÐÖ²ÎïÌáÈ¡¿ÆÑо­Àú +20 yzyzx 2026-04-09 21/1050 2026-04-12 00:12 by ССССÀ²À²À²
[¿¼ÑÐ] Çóµ÷¼Á +18 MAXâê㯠2026-04-09 20/1000 2026-04-11 23:31 by zhen¡«
[¿¼ÑÐ] 359Çóµ÷¼Á +5 θ¾·ÂÎÀÛÁË 2026-04-11 5/250 2026-04-11 19:55 by lbsjt
[¿¼ÑÐ] 311Çóµ÷¼Á +13 xypÏë¶ÁÊé 2026-04-10 14/700 2026-04-11 09:41 by Öí»á·É
[¿¼ÑÐ] ²ÄÁÏÀà284µ÷¼Á +40 Ïë»»ÊÖ»ú²»Ïë½âÊ 2026-04-08 48/2400 2026-04-10 23:28 by 314126402
[¿¼ÑÐ] 083200 305·Ö Çó¶þÂÖµ÷¼Á ²»½ÓÊÜ¿çרҵ +9 Claireyyyy 2026-04-09 10/500 2026-04-10 21:21 by Claireyyyy
[¿¼ÑÐ] 263ÄÜÔ´¶¯Á¦×¨Ë¶Çóµ÷¼Á +4 ¼Ó´óºÅ·¹ºÐ´ü 2026-04-10 4/200 2026-04-10 20:52 by gong120082
[¿¼ÑÐ] Ò»Ö¾Ô¸»¦9£¬326ÉúÎïѧÇóÏà¹Ø×¨Òµµ÷¼Á +4 Áõīī 2026-04-09 4/200 2026-04-10 12:07 by pengliang8036
[¿¼ÑÐ] µ÷¼ÁÉêÇë086000Ò»Ö¾Ô¸Î÷±±Å©ÁֿƼ¼´óѧÉúÎïÓëÒ½Ò©320·Ö-±¾¿ÆÆë³¹¤Òµ´óѧ +3 ÃÀÃÀŮʿ 2026-04-09 3/150 2026-04-10 10:31 by liuhuiying09
[¿¼²©] ²©Ê¿×Ô¼ö +7 ¿É¿ÉСÅÖ 2026-04-08 7/350 2026-04-10 08:28 by kimhero
[¿¼ÑÐ] ²ÄÁÏר˶(0856) 339·ÖÇóµ÷¼Á +9 ¹þ¹þ¹þ¶ì¹þ¹þ¹þ 2026-04-09 10/500 2026-04-09 20:01 by Orcid
[¿¼ÑÐ] ²ÄÁÏר˶³õÊÔ·Ö332Ò»Ö¾Ô¸Î÷±±¹¤Òµ´óѧ£¬ +12 ¹ÊÈË?? 2026-04-09 12/600 2026-04-09 18:34 by Ccclqqq
[¿¼ÑÐ] 311Çóµ÷¼Á +6 surte 2026-04-08 13/650 2026-04-09 14:00 by surte
ÐÅÏ¢Ìáʾ
ÇëÌî´¦ÀíÒâ¼û