| 查看: 628 | 回复: 2 | |||
adhisj金虫 (著名写手)
|
[交流]
【求助】请大家帮我看看这个阻抗图 已有1人参与
|
|
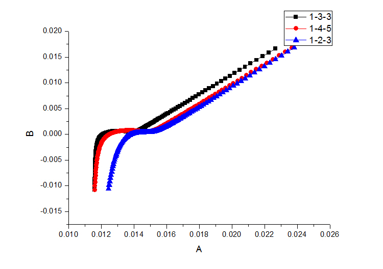
如下图,系统是锂离子电池,软件为ZsimpWin,模拟出来的结果中代表电池欧姆内阻的一项为1-2-3是4.694E-5,1-3-3是0.01152 ,1-4-5是 0.01134。这是怎么回事呢?因为不是说高频圆与实轴的截距为欧姆内阻吗,从图上看出大致应该为1-3-3最小,其次是1-4-5,再其次是1-2-3? |
» 猜你喜欢
310 070300化学求调剂
已经有6人回复
福建师范大学 院士团队 招2026级博士1名
已经有10人回复
分析化学论文润色/翻译怎么收费?
已经有179人回复
广西师范大学化学与药学学院杨秀林课题组2026年拟招收博士研究生1名
已经有25人回复
26年储能、电池方向博士申请
已经有1人回复
求调剂,本科吉大,一志愿华工339
已经有2人回复
意大利博洛尼亚大学招聘研究助理2名(2D材料/锂离子与钠离子电池方向)
已经有1人回复
关于碳量子点抗菌的研究
已经有15人回复
南大化学调剂
已经有11人回复
硫酸钠溶液浓度与密度曲线
已经有0人回复
0703调剂
已经有2人回复
» 本主题相关价值贴推荐,对您同样有帮助:
小弟新手,谁帮我分析一下这个交流阻抗图啊
已经有8人回复
大家帮我看看这个DSC曲线峰面积怎么取啊
已经有22人回复
大牛们帮忙看看这个阻抗谱啊
已经有4人回复
请大家帮忙看一下这个阻抗谱的等效电路是什么?
已经有4人回复
半路出家,遇到这个交流阻抗谱不知道怎么分析,还请各位大侠帮忙看看。
已经有13人回复
大家帮我看看这个图是啥意思谢谢啊
已经有4人回复
大家帮我看看这个RNA胶图,这是神马情况。。。
已经有8人回复
帮忙解释一下这个阻抗图
已经有14人回复
请大家帮忙看看我的阻抗谱
已经有4人回复
请大家帮我看看这个核磁谱图吧,实在是没有办法了
已经有30人回复
大家帮我看看这张拉曼图谱
已经有18人回复
大家帮我看看这个审稿意见
已经有23人回复
大家帮我看看这个图怎么做啊
已经有9人回复
大家帮我看看这个图是怎么画出来的
已经有12人回复
【求助】大家帮忙看看这个阻抗图呀
已经有10人回复
大家帮我看看cDNA图片对吗?
已经有5人回复
【求助】请大家帮我看看TGA图吧,O(∩_∩)O谢谢
已经有21人回复
adhisj
金虫 (著名写手)
- 应助: 2 (幼儿园)
- 金币: 1438.7
- 散金: 236
- 红花: 10
- 帖子: 1284
- 在线: 525.4小时
- 虫号: 775863
- 注册: 2009-05-21
- 专业: 电化学
2楼2011-02-15 10:38:48
adhisj
金虫 (著名写手)
- 应助: 2 (幼儿园)
- 金币: 1438.7
- 散金: 236
- 红花: 10
- 帖子: 1284
- 在线: 525.4小时
- 虫号: 775863
- 注册: 2009-05-21
- 专业: 电化学
3楼2011-04-10 17:55:10













回复此楼