| 查看: 669 | 回复: 4 | |
[求助]
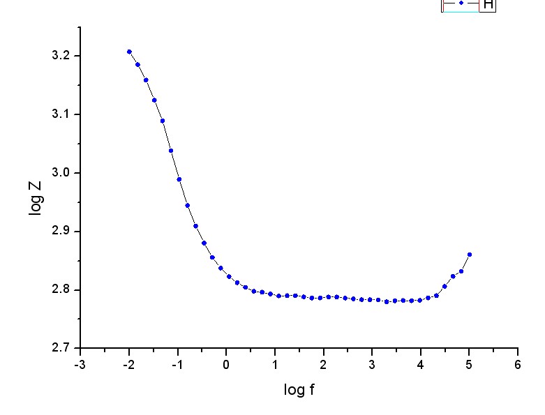
请大家帮忙看看我的阻抗谱
|
|
|
|
|
|
2楼2011-09-20 10:23:17
|
|
|
3楼2011-09-20 10:26:25
|
|
tobeaflyin银虫 (小有名气)
|
|
![]() |
|
|
4楼2011-09-22 09:45:13
|
|
yzl_279铜虫 (正式写手)
|
|
![]() |
|
|
5楼2011-09-23 00:50:11
|
|













回复此楼

