版块导航
正在加载中...
客户端APP下载
论文辅导
申博辅导
登录
注册
帖子
帖子
用户
本版
应《网络安全法》要求,自2017年10月1日起,未进行实名认证将不得使用互联网跟帖服务。为保障您的帐号能够正常使用,请尽快对帐号进行手机号验证,感谢您的理解与支持!
24小时热门版块排行榜
>
论坛更新日志
(3001)
>
虫友互识
(436)
>
休闲灌水
(221)
>
导师招生
(114)
>
文献求助
(80)
>
论文投稿
(63)
>
考博
(37)
>
硕博家园
(17)
>
教师之家
(16)
>
招聘信息布告栏
(15)
>
SciFinder/Reaxys
(14)
>
博后之家
(13)
>
基金申请
(11)
>
外文书籍求助
(10)
>
论文道贺祈福
(8)
>
找工作
(8)
小木虫论坛-学术科研互动平台
»
专业学科区
»
数学
»
概率论与统计
»
【求助】请大家帮忙解决
8
1/1
返回列表
查看: 749 | 回复: 7
只看楼主
@他人
存档
新回复提醒
(忽略)
收藏
在APP中查看
小陈醋
新虫
(初入文坛)
应助: 0
(幼儿园)
金币: 5.5
帖子: 14
在线: 5.3小时
虫号: 1068667
注册: 2010-08-03
专业: 数理统计
[交流]
【求助】请大家帮忙解决
已有3人参与
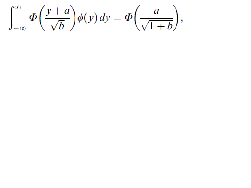
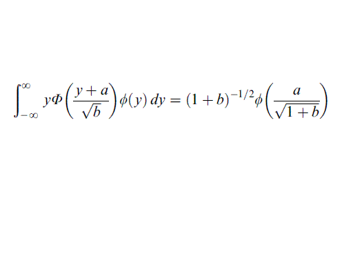
请大家帮忙解决,a,b为实数,大Phi为标准正态分布函数,小phi为标准正太密度函数
[
Last edited by 小陈醋 on 2011-2-15 at 10:13
]
回复此楼
» 猜你喜欢
自荐读博
已经有5人回复
求个博导看看
已经有16人回复
上海工程技术大学张培磊教授团队招收博士生
已经有4人回复
上海工程技术大学【激光智能制造】课题组招收硕士
已经有5人回复
求助院士们,这个如何合成呀
已经有4人回复
临港实验室与上科大联培博士招生1名
已经有9人回复
需要合成515-64-0,50g,能接单的留言
已经有4人回复
写了一篇“相变储能技术在冷库中应用”的论文,论文内容以实验为主,投什么期刊合适?
已经有6人回复
带资进组求博导收留
已经有10人回复
最近几年招的学生写论文不引自己组发的文章
已经有11人回复
高级回复
» 本主题相关价值贴推荐,对您同样有帮助:
【30金币相送】求助一个关于热辐射的简单问题,请大家帮忙!非常感谢
已经有10人回复
【求助】液相色谱柱放置半个月后再用柱压升高近30bar,请大家帮忙分析下!
已经有9人回复
【求助】请大家帮忙解决这两个A类错误~谢谢~
已经有8人回复
【求助】急!请大家帮忙解决几个cif错误~
已经有10人回复
【求助】请大家帮忙解决MS运行问题
已经有9人回复
【求助】急~~~~请大家帮忙看看这台液相是怎么了!!!
已经有9人回复
【求助完成】提交vasp时出现以下错误,请大家帮忙看下
已经有5人回复
【求助】请大家帮忙分析一下这个XRD
已经有10人回复
【求助】Dmol3计算出错,请大家帮忙
已经有24人回复
【求助/交流】我用菌液摇菌抽提质粒浓度很低,请大家帮忙解决下,为什么
已经有16人回复
【求助】请大家帮忙分析分析
已经有3人回复
【求助】fluent的传热问题,计算结果有没有问题,请大家帮忙看看。【已解决】
已经有10人回复
【求助】请大家帮忙来解决一个实验问题
已经有3人回复
【求助】请帮忙,谢谢【已完结】
已经有6人回复
【求助】大家帮忙看下导师的回复
已经有58人回复
【求助】请大家帮忙看一下这三个题(微积分方面)【已解决】
已经有11人回复
【求助】请大家帮忙解决峰的分离问题
已经有9人回复
【求助】请大家帮忙解决一个错误
已经有3人回复
【求助】又有新的问题请大家帮忙
已经有19人回复
【求助】请大家帮忙gmx
已经有2人回复
【求助】请大家帮忙解决一下燃眉之急
已经有6人回复
【求助】请大家帮忙解个晶体!
已经有6人回复
【求助】【求助】优化701错误,请求大家帮忙
已经有8人回复
1楼
2011-02-13 16:22:50
已阅
回复此楼
关注TA
给TA发消息
送TA红花
TA的回帖
jfili
金虫
(正式写手)
数学EPI: 17
应助: 17
(小学生)
贵宾: 0.25
金币: 2063.5
散金: 110
红花: 6
沙发: 1
帖子: 594
在线: 111.6小时
虫号: 730814
注册: 2009-03-25
专业: 偏微分方程
管辖:
数学
★
小木虫(金币
+0.5
):给个红包,谢谢回帖交流
大phi 和小Phi之间有什么关系?
这个问题的条件是什么?目标结论是什么?
这都要说清楚的
赞
一下
(1人)
回复此楼
2楼
2011-02-14 09:25:54
已阅
回复此楼
关注TA
给TA发消息
送TA红花
TA的回帖
inhaul
新虫
(正式写手)
数学EPI: 1
应助: 38
(小学生)
贵宾: 0.001
金币: 6972.5
散金: 900
红花: 5
帖子: 796
在线: 584.6小时
虫号: 1011659
注册: 2010-05-05
★
小木虫(金币
+0.5
):给个红包,谢谢回帖交流
引用回帖:
Originally posted by
小陈醋
at 2011-02-13 16:22:50:
请大家帮忙解决,a,b为实数
有出处么,对类似的结果感兴趣
赞
一下
(1人)
回复此楼
3楼
2011-02-14 20:05:32
已阅
回复此楼
关注TA
给TA发消息
送TA红花
TA的回帖
小陈醋
新虫
(初入文坛)
应助: 0
(幼儿园)
金币: 5.5
帖子: 14
在线: 5.3小时
虫号: 1068667
注册: 2010-08-03
专业: 数理统计
引用回帖:
Originally posted by
jfili
at 2011-02-14 09:25:54:
大phi 和小Phi之间有什么关系?
这个问题的条件是什么?目标结论是什么?
这都要说清楚的
其中的函数为标准正太分布函数和标准正态密度函数
赞
一下
回复此楼
4楼
2011-02-15 10:10:55
已阅
回复此楼
关注TA
给TA发消息
送TA红花
TA的回帖
inhaul
新虫
(正式写手)
数学EPI: 1
应助: 38
(小学生)
贵宾: 0.001
金币: 6972.5
散金: 900
红花: 5
帖子: 796
在线: 584.6小时
虫号: 1011659
注册: 2010-05-05
★
小木虫(金币
+0.5
):给个红包,谢谢回帖交流
引用回帖:
Originally posted by
小陈醋
at 2011-02-15 10:10:55:
其中的函数为标准正太分布函数和标准正态密度函数
分部积分法,ϕ'(y)=-y*ϕ(y)
赞
一下
(1人)
回复此楼
5楼
2011-02-15 10:18:51
已阅
回复此楼
关注TA
给TA发消息
送TA红花
TA的回帖
小陈醋
新虫
(初入文坛)
应助: 0
(幼儿园)
金币: 5.5
帖子: 14
在线: 5.3小时
虫号: 1068667
注册: 2010-08-03
专业: 数理统计
引用回帖:
Originally posted by
inhaul
at 2011-02-15 10:18:51:
分部积分法,ϕ'(y)=-y*ϕ(y)
第二个用分部积分怎么做?谢谢
赞
一下
回复此楼
6楼
2011-02-15 12:42:49
已阅
回复此楼
关注TA
给TA发消息
送TA红花
TA的回帖
inhaul
新虫
(正式写手)
数学EPI: 1
应助: 38
(小学生)
贵宾: 0.001
金币: 6972.5
散金: 900
红花: 5
帖子: 796
在线: 584.6小时
虫号: 1011659
注册: 2010-05-05
★
小木虫(金币
+0.5
):给个红包,谢谢回帖交流
引用回帖:
Originally posted by
小陈醋
at 2011-02-15 12:42:49:
第二个用分部积分怎么做?谢谢
不用分部积分,把左边看成关于a的函数,求导后积分和右边的结果求导后是一样的
赞
一下
(1人)
回复此楼
7楼
2011-02-17 11:30:04
已阅
回复此楼
关注TA
给TA发消息
送TA红花
TA的回帖
小陈醋
新虫
(初入文坛)
应助: 0
(幼儿园)
金币: 5.5
帖子: 14
在线: 5.3小时
虫号: 1068667
注册: 2010-08-03
专业: 数理统计
引用回帖:
Originally posted by
inhaul
at 2011-02-17 03:30:04:
不用分部积分,把左边看成关于a的函数,求导后积分和右边的结果求导后是一样的
谢谢!!!!!!!!!!!
回复此楼
8楼
2011-02-19 10:32:24
已阅
回复此楼
关注TA
给TA发消息
送TA红花
TA的回帖
相关版块跳转
数理科学综合
机械
物理
数学
农林
食品
地学
能源
信息科学
土木建筑
航空航天
转基因
我要订阅楼主
小陈醋
的主题更新
8
1/1
返回列表
如果回帖内容含有宣传信息,请如实选中。否则帐号将被全论坛禁言
普通表情
龙
兔
虎
猫
高级回复
(可上传附件)
百度网盘
|
360云盘
|
千易网盘
|
华为网盘
在新窗口页面中打开自己喜欢的网盘网站,将文件上传后,然后将下载链接复制到帖子内容中就可以了。
信息提示
关闭
请填处理意见
关闭
确定