±±¾©Ê¯ÓÍ»¯¹¤Ñ§Ôº2026ÄêÑо¿ÉúÕÐÉú½ÓÊÕµ÷¼Á¹«¸æ
²é¿´: 2662  |  »Ø¸´: 23

404506634

ľ³æ (СÓÐÃûÆø)


[½»Á÷] ¡¾ÇóÖú¡¿ZSM-5µÄÖÆ±¸

¸÷λ´óÏÀ£¬ÎÒÖÆ±¸µÄZSM-5¾­¹ýNH3-TPD±íÕ÷Ç¿ËáËáÐÔλºÜÉÙ£¬»á²»»áÊÇ×Ô¼ºµÄÅä·½²»ÐУ¿ÄÄλ¸ßÊÖÄÜ·ÖÏíÒ»¸öÇ¿ËáËáÐÔλºÜ¶àµÄÖÆ±¸Åä·½°¡£¿
»Ø¸´´ËÂ¥

» ²ÂÄãϲ»¶

» ±¾Ö÷ÌâÏà¹Ø¼ÛÖµÌùÍÆ¼ö£¬¶ÔÄúͬÑùÓаïÖú:

» ÇÀ½ð±ÒÀ²£¡»ØÌû¾Í¿ÉÒԵõ½:

²é¿´È«²¿É¢½ðÌù

ÒÑÔÄ   »Ø¸´´ËÂ¥   ¹Ø×¢TA ¸øTA·¢ÏûÏ¢ ËÍTAºì»¨ TAµÄ»ØÌû

tangbohejin

ľ³æÖ®Íõ (ÎÄѧ̩¶·)


404506634(½ð±Ò+1): 2011-01-10 13:01:55
Çë°ÑÄãµÄ½á¹ûÄóöÀ´ÔÙ·ÖÎö£¬¿ÉÒÔÂð£¿
2Â¥2011-01-10 11:34:46
ÒÑÔÄ   »Ø¸´´ËÂ¥   ¹Ø×¢TA ¸øTA·¢ÏûÏ¢ ËÍTAºì»¨ TAµÄ»ØÌû
Ò»°ã½á¾§¶È½ÏºÃ£¬¹èÂÁ±ÈÒ»¶¨ÏÂûʲôÎÊÌâ
3Â¥2011-01-10 12:22:58
ÒÑÔÄ   »Ø¸´´ËÂ¥   ¹Ø×¢TA ¸øTA·¢ÏûÏ¢ ËÍTAºì»¨ TAµÄ»ØÌû

404506634

ľ³æ (СÓÐÃûÆø)


ÒýÓûØÌû:
Originally posted by tangbohejin at 2011-01-10 11:34:46:
Çë°ÑÄãµÄ½á¹ûÄóöÀ´ÔÙ·ÖÎö£¬¿ÉÒÔÂð£¿

ÉÏ´«±íÕ÷½á¹ûºÜÂé·³£¬·´Õý¾ÍÊÇ×ö·´Ó¦»îÐԺܵͣ¬Ö»ÄÜ»³ÒÉÊÇÇ¿ËáËáÐÔλ²»¹»¡£
4Â¥2011-01-10 13:03:36
ÒÑÔÄ   »Ø¸´´ËÂ¥   ¹Ø×¢TA ¸øTA·¢ÏûÏ¢ ËÍTAºì»¨ TAµÄ»ØÌû

404506634

ľ³æ (СÓÐÃûÆø)


ÒýÓûØÌû:
Originally posted by dy322112 at 2011-01-10 12:22:58:
Ò»°ã½á¾§¶È½ÏºÃ£¬¹èÂÁ±ÈÒ»¶¨ÏÂûʲôÎÊÌâ

Ò»°ã½á¾§¶ÈÊÇÓÉXRD±íÕ÷°É£¬ÄÇÊÇÓÉÄÄÒ»¸ö2theta½ÇÀ´±È½Ï£¬Óбê×¼Âð£¿
5Â¥2011-01-10 13:04:48
ÒÑÔÄ   »Ø¸´´ËÂ¥   ¹Ø×¢TA ¸øTA·¢ÏûÏ¢ ËÍTAºì»¨ TAµÄ»ØÌû

feitianzhu

½ð³æ (ÕýʽдÊÖ)


404506634(½ð±Ò+1): 2011-01-10 18:27:23
ÄãµÄZSM-5ÊÇHÐ͵İɣ¬¿ÉÒÔ¿¼ÂÇ×öË®ÈÈ´¦ÀíµÈ·½Ê½µ÷±äËáÐÔ
6Â¥2011-01-10 16:43:20
ÒÑÔÄ   »Ø¸´´ËÂ¥   ¹Ø×¢TA ¸øTA·¢ÏûÏ¢ ËÍTAºì»¨ TAµÄ»ØÌû

chemlife

½û³æ (ÖøÃûдÊÖ)

±¾ÌûÄÚÈݱ»ÆÁ±Î

7Â¥2011-01-10 17:35:20
ÒÑÔÄ   »Ø¸´´ËÂ¥   ¹Ø×¢TA ¸øTA·¢ÏûÏ¢ ËÍTAºì»¨ TAµÄ»ØÌû

chemlife

½û³æ (ÖøÃûдÊÖ)

±¾ÌûÄÚÈݱ»ÆÁ±Î

8Â¥2011-01-10 17:37:23
ÒÑÔÄ   »Ø¸´´ËÂ¥   ¹Ø×¢TA ¸øTA·¢ÏûÏ¢ ËÍTAºì»¨ TAµÄ»ØÌû

404506634

ľ³æ (СÓÐÃûÆø)


ÒýÓûØÌû:
Originally posted by feitianzhu at 2011-01-10 16:43:20:
ÄãµÄZSM-5ÊÇHÐ͵İɣ¬¿ÉÒÔ¿¼ÂÇ×öË®ÈÈ´¦ÀíµÈ·½Ê½µ÷±äËáÐÔ

ÄãÊÇ˵¼î´¦ÀíÍѹèÂð£¿
9Â¥2011-01-10 18:28:11
ÒÑÔÄ   »Ø¸´´ËÂ¥   ¹Ø×¢TA ¸øTA·¢ÏûÏ¢ ËÍTAºì»¨ TAµÄ»ØÌû

404506634

ľ³æ (СÓÐÃûÆø)


ÒýÓûØÌû:
Originally posted by chemlife at 2011-01-10 17:37:23:


Ò»°ãÀ´Ëµ£¬Ö»ÒªXRDÆ×·åµÄ»ùÏ߯½£¬ÔÚ20-30¶ÈûÓÐÃ÷ÏԵġÆð£¬¾ÍÈÏΪ½á¾§¶È½ÏºÃ¡£

ÎÒ²é¹ýÁË£¬Õâ¸ö¶¼·ûºÏ
10Â¥2011-01-10 18:28:38
ÒÑÔÄ   »Ø¸´´ËÂ¥   ¹Ø×¢TA ¸øTA·¢ÏûÏ¢ ËÍTAºì»¨ TAµÄ»ØÌû

404506634

ľ³æ (СÓÐÃûÆø)


zhangwengui330:¹èÂÁ±ÈÆ«µÍ 2011-01-11 09:29:45
ÒýÓûØÌû:
Originally posted by chemlife at 2011-01-10 17:35:20:
ÎÊÎÊ£¬LZÖÆ±¸¹ý³ÌÊÇʲô£¬²úÎïSi/AlÊǶàÉÙ£¬ÖƱ¸µÄÑùÆ·ÊÇÈçºÎ´¦Àí³ÉHÐ͵ģ¿

¹èÔ´¡¢Ë®¡¢ÁòËá¡¢ÁòËáÂÁ£¬110ÉãÊ϶È2Ì죬180ÉãÊ϶È1¡¢2¡¢3¡¢4Ìì¶¼×ö¹ý£¬¹èÂÁ±ÈΪ20¡£ÏõËáï§½»»»2´Î¡¢550ÉãÊ϶ȱºÉÕ
11Â¥2011-01-10 18:30:44
ÒÑÔÄ   »Ø¸´´ËÂ¥   ¹Ø×¢TA ¸øTA·¢ÏûÏ¢ ËÍTAºì»¨ TAµÄ»ØÌû

chemlife

½û³æ (ÖøÃûдÊÖ)

¡ï ¡ï
dy322112(½ð±Ò+2):3Q! 2011-01-11 10:22:22
404506634(½ð±Ò+1): 2011-01-11 16:42:44
±¾ÌûÄÚÈݱ»ÆÁ±Î

12Â¥2011-01-11 08:50:12
ÒÑÔÄ   »Ø¸´´ËÂ¥   ¹Ø×¢TA ¸øTA·¢ÏûÏ¢ ËÍTAºì»¨ TAµÄ»ØÌû

zxzbl

ľ³æ (ÖøÃûдÊÖ)


¸ÄÐÔ·½·¨ÓÐ¹Ø°É NaÐ͵ĿÉÒÔ²âËáÐÔÂð
13Â¥2011-01-11 15:16:40
ÒÑÔÄ   »Ø¸´´ËÂ¥   ¹Ø×¢TA ¸øTA·¢ÏûÏ¢ ËÍTAºì»¨ TAµÄ»ØÌû

404506634

ľ³æ (СÓÐÃûÆø)


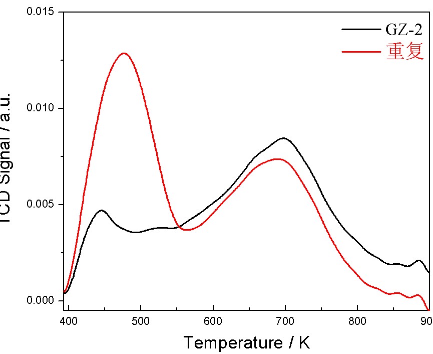
dy322112:×îºÃ´Ëͼ·Åµ½1¥ȥ£¬ºÃÈøü¶à ÈË¿´µ½ 2011-01-12 12:11:31
ÒýÓûØÌû:
Originally posted by chemlife at 2011-01-11 08:50:12:


²»ÖªµÀLZÑùÆ·µÄËáÇ¿¶ÈÈçºÎ·Ö²¼£¬Í¼ÖÐÊǸß×Ì¡¶·Ðʯ´ß»¯Óë·ÖÀë¼¼Êõ¡·Öиø³öµÄSi/Al=30µÄHZSM-5µÄTPD£¬¹©Äã²Î¿¼£¬ÊéÖÐÒ²Ìáµ½Ìá¸ß·ÐʯµÄ¹èÂÁ±È¿ÉÔö¼ÓËáÇ¿¶È¡£

ÕâÊÇÎҵĽá¹û
14Â¥2011-01-11 16:46:07
ÒÑÔÄ   »Ø¸´´ËÂ¥   ¹Ø×¢TA ¸øTA·¢ÏûÏ¢ ËÍTAºì»¨ TAµÄ»ØÌû

404506634

ľ³æ (СÓÐÃûÆø)


ÒýÓûØÌû:
Originally posted by zxzbl at 2011-01-11 15:16:40:
¸ÄÐÔ·½·¨ÓÐ¹Ø°É NaÐ͵ĿÉÒÔ²âËáÐÔÂð

NaÐÍûÓÐËáÐÔµÄ
15Â¥2011-01-11 16:47:08
ÒÑÔÄ   »Ø¸´´ËÂ¥   ¹Ø×¢TA ¸øTA·¢ÏûÏ¢ ËÍTAºì»¨ TAµÄ»ØÌû

404506634

ľ³æ (СÓÐÃûÆø)


ÒýÓûØÌû:
Originally posted by chemlife at 2011-01-11 08:50:12:


²»ÖªµÀLZÑùÆ·µÄËáÇ¿¶ÈÈçºÎ·Ö²¼£¬Í¼ÖÐÊǸß×Ì¡¶·Ðʯ´ß»¯Óë·ÖÀë¼¼Êõ¡·Öиø³öµÄSi/Al=30µÄHZSM-5µÄTPD£¬¹©Äã²Î¿¼£¬ÊéÖÐÒ²Ìáµ½Ìá¸ß·ÐʯµÄ¹èÂÁ±È¿ÉÔö¼ÓËáÇ¿¶È¡£

ÎÒÏÖÔÚ»³ÒÉÊÇÎÒÓõÄÏõËáï§²»´¿Ã»½»»»ÉÏÈ¥
16Â¥2011-01-11 16:47:58
ÒÑÔÄ   »Ø¸´´ËÂ¥   ¹Ø×¢TA ¸øTA·¢ÏûÏ¢ ËÍTAºì»¨ TAµÄ»ØÌû

chemlife

½û³æ (ÖøÃûдÊÖ)

±¾ÌûÄÚÈݱ»ÆÁ±Î

17Â¥2011-01-11 18:42:55
ÒÑÔÄ   »Ø¸´´ËÂ¥   ¹Ø×¢TA ¸øTA·¢ÏûÏ¢ ËÍTAºì»¨ TAµÄ»ØÌû

404506634

ľ³æ (СÓÐÃûÆø)


ÒýÓûØÌû:
Originally posted by chemlife at 2011-01-11 18:42:55:


LZÔںϳÉʱûÓÐʹÓÃÓлúÄ£°å¼Áô£¿ÔÚ½»»»Ç°ÊÇ·ñìÑÉÕ¹ýÑùÆ·£¿

[ Last edited by chemlife on 2011-1-11 at 18:47 ]

Ä£°å¼ÁÊÇTPABr£¬½»»»Ç°Í¬ÑùÒ²ÊÇ550¡æ±ºÉÕ¹ý
18Â¥2011-01-12 10:42:03
ÒÑÔÄ   »Ø¸´´ËÂ¥   ¹Ø×¢TA ¸øTA·¢ÏûÏ¢ ËÍTAºì»¨ TAµÄ»ØÌû

404506634

ľ³æ (СÓÐÃûÆø)


ÒýÓûØÌû:
Originally posted by chemlife at 2011-01-11 18:42:55:


LZÔںϳÉʱûÓÐʹÓÃÓлúÄ£°å¼Áô£¿ÔÚ½»»»Ç°ÊÇ·ñìÑÉÕ¹ýÑùÆ·£¿

[ Last edited by chemlife on 2011-1-11 at 18:47 ]

Õâ¸ö±íÕ÷½á¹ûÄÜ˵Ã÷ÓÐÇ¿ËáλÂð£¿
19Â¥2011-01-12 16:44:54
ÒÑÔÄ   »Ø¸´´ËÂ¥   ¹Ø×¢TA ¸øTA·¢ÏûÏ¢ ËÍTAºì»¨ TAµÄ»ØÌû

chemlife

½û³æ (ÖøÃûдÊÖ)

±¾ÌûÄÚÈݱ»ÆÁ±Î

20Â¥2011-01-12 17:11:44
ÒÑÔÄ   »Ø¸´´ËÂ¥   ¹Ø×¢TA ¸øTA·¢ÏûÏ¢ ËÍTAºì»¨ TAµÄ»ØÌû

chemlife

½û³æ (ÖøÃûдÊÖ)

¡ï
zxrno10(½ð±Ò+1):ºìÍâ¼ì²âһϠ2011-01-12 22:38:19
±¾ÌûÄÚÈݱ»ÆÁ±Î

21Â¥2011-01-12 17:17:08
ÒÑÔÄ   »Ø¸´´ËÂ¥   ¹Ø×¢TA ¸øTA·¢ÏûÏ¢ ËÍTAºì»¨ TAµÄ»ØÌû

zxrno10

¾èÖú¹ó±ö (ÖøÃûдÊÖ)


1

ÒýÓûØÌû:
Originally posted by 404506634 at 2011-01-10 13:03:36:

ÉÏ´«±íÕ÷½á¹ûºÜÂé·³£¬·´Õý¾ÍÊÇ×ö·´Ó¦»îÐԺܵͣ¬Ö»ÄÜ»³ÒÉÊÇÇ¿ËáËáÐÔλ²»¹»¡£

¿ÉÒÔÔÙÓúìÍâÀ´²â¶¨Á¿
22Â¥2011-01-12 18:09:56
ÒÑÔÄ   »Ø¸´´ËÂ¥   ¹Ø×¢TA ¸øTA·¢ÏûÏ¢ ËÍTAºì»¨ TAµÄ»ØÌû

404506634

ľ³æ (СÓÐÃûÆø)


ÒýÓûØÌû:
Originally posted by chemlife at 2011-01-12 17:17:08:
ÎÒ¿´ÄãÖØ¸´µÄÑùÆ·£¨ºìÉ«µÄ£©TPDÕý³££¬ÓëÎÄÏ×±¨µÀµÄºÜÏàËÆ£¬ÕâÁ½¸öÑùÆ·ÖÆ±¸¹ý³ÌÖÐÓÐÇø±ðô£¬ÎªÊ²Ã´½á¹û»á²î±ðºÜ´óÄØ£¿

[ Last edited by chemlife on ... [/quote]
µ«ÊÇ£¬ºìÉ«µÄÑùÆ··´Ó¦»îÐÔ±ÈÀ¶É«µÄ²î£¬´Óͼ¿ÉÒÔ¿´³öÊÇÒòΪǿËáλÉÙ¡£ÕâÁ½¸öÑùÆ·µÄÖÆ±¸Ã»Ê²Ã´²î±ð£¬ËùÒÔÎÒºÜÎ޽⡣
23Â¥2011-01-13 14:51:15
ÒÑÔÄ   »Ø¸´´ËÂ¥   ¹Ø×¢TA ¸øTA·¢ÏûÏ¢ ËÍTAºì»¨ TAµÄ»ØÌû

chemlife

½û³æ (ÖøÃûдÊÖ)

±¾ÌûÄÚÈݱ»ÆÁ±Î

24Â¥2011-01-13 20:49:46
ÒÑÔÄ   »Ø¸´´ËÂ¥   ¹Ø×¢TA ¸øTA·¢ÏûÏ¢ ËÍTAºì»¨ TAµÄ»ØÌû
Ïà¹Ø°æ¿éÌø×ª ÎÒÒª¶©ÔÄÂ¥Ö÷ 404506634 µÄÖ÷Ìâ¸üÐÂ
×î¾ßÈËÆøÈÈÌûÍÆ¼ö [²é¿´È«²¿] ×÷Õß »Ø/¿´ ×îºó·¢±í
[¿¼ÑÐ] Ò»Ö¾Ô¸±±¾©»¯¹¤085600 310·ÖÇóµ÷¼Á +16 0856²ÄÁÏÓ뻯¹¤3 2026-04-04 18/900 2026-04-06 01:54 by BruceLiu320
[¿¼ÑÐ] ²ÄÁÏר˶(0856) 339·ÖÇóµ÷¼Á +9 ¹þ¹þ¹þ¶ì¹þ¹þ¹þ 2026-04-05 9/450 2026-04-05 22:24 by dongzh2009
[¿¼ÑÐ] 308Çóµ÷¼Á +3 ÖÕ²»ËÆ´Óǰ 2026-04-05 3/150 2026-04-05 22:23 by hemengdong
[¿¼ÑÐ] 272·ÖÇóµ÷¼Á +4 wangyile2233 2026-04-02 4/200 2026-04-05 22:21 by 286640313
[¿¼ÑÐ] 315Çóµ÷¼Á +5 £¦123456789 2026-04-05 5/250 2026-04-05 19:55 by nepu_uu
[¿¼ÑÐ] 326Çóµ÷¼Á +3 ¹ËÈô¸¡Éú 2026-04-05 3/150 2026-04-05 18:32 by À¶ÔÆË¼Óê
[¿¼ÑÐ] Ò»Ö¾Ô¸½­ÄÏ´óѧ085501»úе¹¤³Ìר˶326·Ö£¬±¾¿Æ¼Ñľ˹´óѧ +5 ¹ËÈô¸¡Éú 2026-04-03 9/450 2026-04-05 09:57 by 1753564080
[¿¼ÑÐ] 311·Ö 22408 Çóµ÷¼Á +3 bing_bot 2026-04-03 3/150 2026-04-05 00:43 by chongya
[¿¼ÑÐ] 266·Ö£¬Ò»Ö¾Ô¸µçÆø¹¤³Ì£¬±¾¿Æ²ÄÁÏ£¬Çó²ÄÁÏרҵµ÷¼Á +11 ÍÛºôºßºôºß 2026-04-01 12/600 2026-04-04 23:17 by ÓÀ×ÖºÅ
[¿¼ÑÐ] 413Çóµ÷¼Á +4 ¿Âijij 2026-03-31 4/200 2026-04-04 22:18 by ѧԱ6BFVa3
[¿¼ÑÐ] 278Çóµ÷¼Á +3 ÒÀ¾É£¡ 2026-04-02 4/200 2026-04-04 20:27 by À¶ÔÆË¼Óê
[¿¼ÑÐ] 309Çóµ÷¼Á +4 ¿ìÀÖµÄС°×¸ë 2026-04-04 5/250 2026-04-04 15:55 by cql1109
[¿¼ÑÐ] Ò»Ö¾Ô¸0817»¯Ñ§¹¤³ÌÓë¼¼Êõ£¬Çóµ÷¼Á +24 ÎÒ²»ÊÇÖ»Òò 2026-04-02 28/1400 2026-04-04 15:15 by dongzh2009
[¿¼ÑÐ] Çóµ÷¼Á +3 ũҵ¹¤³ÌÓëÐÅÏ¢¼ 2026-04-04 3/150 2026-04-04 12:19 by Éá¶øºóµÃ
[¿¼ÑÐ] Ò»Ö¾Ô¸±±½»´ó²ÄÁϹ¤³Ì×Ü·Ö358 +6 cs0106 2026-04-03 6/300 2026-04-04 11:20 by w_xuqing
[¿¼ÑÐ] Ò»Ö¾Ô¸Äϲý´óѧ324Çóµ÷¼Á +9 hanamiko 2026-03-30 9/450 2026-04-04 11:04 by Öí»á·É
[¿¼ÑÐ] 334Çóµ÷¼Á +9 Trying] 2026-03-31 9/450 2026-04-03 15:18 by ×ÁçíØ¼
[¿¼ÑÐ] 353Çóµ÷¼Á +4 À­¹³²»Ðí±ä 2026-04-01 4/200 2026-04-01 18:10 by ¼Çʱ¾2026
[¿¼ÑÐ] 080500-315·Ö¸´ÊÔµ÷¼Á +9 Éϰ¶3821 2026-03-31 9/450 2026-03-31 17:29 by ÌÆãå¶ù
[¿¼ÑÐ] ¹þ¶û±õ¹¤Òµ´óѧ²ÄÁÏÓ뻯¹¤×¨Ë¶378Çóµ÷¼Á +3 Ëþ±ÈÎÚ˹ 2026-03-30 3/150 2026-03-30 22:55 by Î޼ʵIJÝÔ­
ÐÅÏ¢Ìáʾ
ÇëÌî´¦ÀíÒâ¼û