| ²é¿´: 1206 | »Ø¸´: 6 | ||
tcomcгæ (³õÈëÎÄ̳)
|
[ÇóÖú]
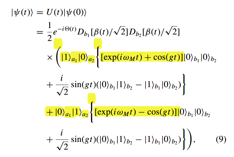
Ò»¸öÆæ¹ÖµÄ½áÂÛ£¬Ö»º¬|1>|0>ºÍ|0>|1>Á½ÖÖ̬µÄ˫ģ¹â³¡¾ø²»¿ÉÄܱ»Ñ¹Ëõ£¿ ÒÑÓÐ1È˲ÎÓë
|
|
|
|
||
zhihaogong25½ð³æ (ÕýʽдÊÖ)
|
|
|
|
2Â¥2017-09-14 10:54:52
|
|
|
tcomcгæ (³õÈëÎÄ̳)
|
||
|
3Â¥2017-09-14 11:18:36
|
|
|
ra2ghgzhľ³æ (ÕýʽдÊÖ)
ѧ³Õ
|
||
![]() |
||
|
4Â¥2017-09-14 14:40:38
|
|
|
tcomcгæ (³õÈëÎÄ̳)
|
||
|
5Â¥2017-09-14 15:45:04
|
|
|
ra2ghgzhľ³æ (ÕýʽдÊÖ)
ѧ³Õ
|
||
![]() |
||
|
6Â¥2017-09-14 19:07:29
|
|
|
tcomcгæ (³õÈëÎÄ̳)
|
||
|
7Â¥2017-09-14 23:12:52
|
|













»Ø¸´´ËÂ¥
