| 查看: 866 | 回复: 8 | ||
yinghaodan捐助贵宾 (初入文坛)
|
[求助]
请数学基础好的同学看看这个问题已有2人参与
|
|
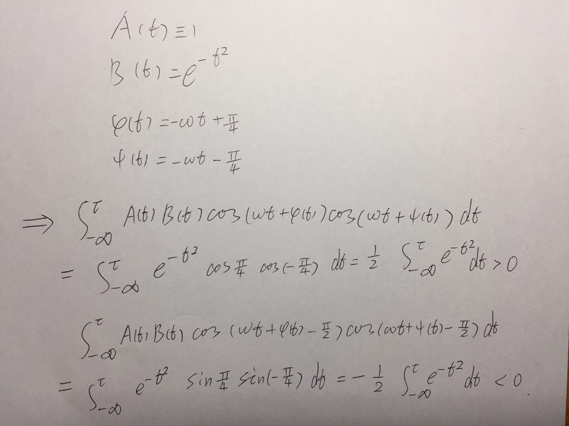
如何证明 如果 那么 脑力不足,只能证明一种特殊情况当 求数学基础好的大神帮助!!! |
» 猜你喜欢
到新单位后,换了新的研究方向,没有团队,持续积累2区以上论文,能申请到面上吗
已经有7人回复
申请2026年博士
已经有5人回复
天津工业大学郑柳春团队欢迎化学化工、高分子化学或有机合成方向的博士生和硕士生加入
已经有5人回复
寻求一种能扛住强氧化性腐蚀性的容器密封件
已经有6人回复
2025冷门绝学什么时候出结果
已经有7人回复
请问有评职称,把科研教学业绩算分排序的高校吗
已经有6人回复
Bioresource Technology期刊,第一次返修的时候被退回好几次了
已经有7人回复
请问哪里可以有青B申请的本子可以借鉴一下。
已经有4人回复
请问下大家为什么这个铃木偶联几乎不反应呢
已经有5人回复
康复大学泰山学者周祺惠团队招收博士研究生
已经有6人回复
» 本主题相关价值贴推荐,对您同样有帮助:
考研福利! 2014考研数学必看 张宇各种答疑解惑!
已经有5人回复
2014考研暑期复习:如何打好数学基础
已经有14人回复
【写给即将考研或者准备复试的同学】
已经有40人回复
考研中的十大禁忌----献给2013年考研的同学
已经有81人回复
【分享】我的考研之路
已经有38人回复
硕士阶段如何学习(个人经验,仅供参考)
已经有247人回复
gold2007
捐助贵宾 (正式写手)
- 应助: 6 (幼儿园)
- 金币: 6394.3
- 散金: 679
- 红花: 18
- 帖子: 824
- 在线: 200.6小时
- 虫号: 2348409
- 注册: 2013-03-12
- 专业: 固体力学
2楼2017-05-31 17:45:11
pgser
铁虫 (职业作家)
- 应助: 30 (小学生)
- 金币: 9333.3
- 散金: 10
- 红花: 17
- 帖子: 3046
- 在线: 523.6小时
- 虫号: 1263938
- 注册: 2011-04-13
- 性别: GG
- 专业: 代数学
3楼2017-05-31 17:47:20
yinghaodan
捐助贵宾 (初入文坛)
- 应助: 0 (幼儿园)
- 金币: 277.1
- 红花: 1
- 帖子: 41
- 在线: 194.3小时
- 虫号: 2578268
- 注册: 2013-08-02
- 专业: 集成电路设计与测试
4楼2017-05-31 17:53:41
yinghaodan
捐助贵宾 (初入文坛)
- 应助: 0 (幼儿园)
- 金币: 277.1
- 红花: 1
- 帖子: 41
- 在线: 194.3小时
- 虫号: 2578268
- 注册: 2013-08-02
- 专业: 集成电路设计与测试
5楼2017-05-31 17:58:43
yinghaodan
捐助贵宾 (初入文坛)
- 应助: 0 (幼儿园)
- 金币: 277.1
- 红花: 1
- 帖子: 41
- 在线: 194.3小时
- 虫号: 2578268
- 注册: 2013-08-02
- 专业: 集成电路设计与测试
6楼2017-05-31 18:05:22
gold2007
捐助贵宾 (正式写手)
- 应助: 6 (幼儿园)
- 金币: 6394.3
- 散金: 679
- 红花: 18
- 帖子: 824
- 在线: 200.6小时
- 虫号: 2348409
- 注册: 2013-03-12
- 专业: 固体力学
7楼2017-05-31 18:22:09
yinghaodan
捐助贵宾 (初入文坛)
- 应助: 0 (幼儿园)
- 金币: 277.1
- 红花: 1
- 帖子: 41
- 在线: 194.3小时
- 虫号: 2578268
- 注册: 2013-08-02
- 专业: 集成电路设计与测试
8楼2017-05-31 19:08:10
gold2007
捐助贵宾 (正式写手)
- 应助: 6 (幼儿园)
- 金币: 6394.3
- 散金: 679
- 红花: 18
- 帖子: 824
- 在线: 200.6小时
- 虫号: 2348409
- 注册: 2013-03-12
- 专业: 固体力学
【答案】应助回帖
★ ★ ★ ★ ★ ★ ★ ★ ★ ★ ★ ★ ★ ★ ★ ★ ★ ★ ★ ★ ★ ★ ★ ★ ★ ★ ★ ★ ★ ★ ★ ★ ★ ★ ★ ★ ★ ★ ★ ★ ★ ★ ★ ★ ★ ★ ★ ★ ★ ★ ★ ★ ...
yinghaodan: 金币+200, ★★★很有帮助 2017-05-31 20:04:04
yinghaodan: 金币+200, ★★★很有帮助 2017-05-31 20:04:04
|
见图片 发自小木虫IOS客户端 |
9楼2017-05-31 20:01:24













回复此楼