| 查看: 3833 | 回复: 3 | ||
| 当前只显示满足指定条件的回帖,点击这里查看本话题的所有回帖 | ||
断翼的天使金虫 (小有名气)
|
[求助]
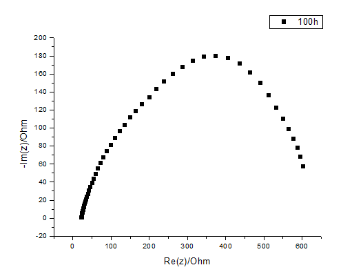
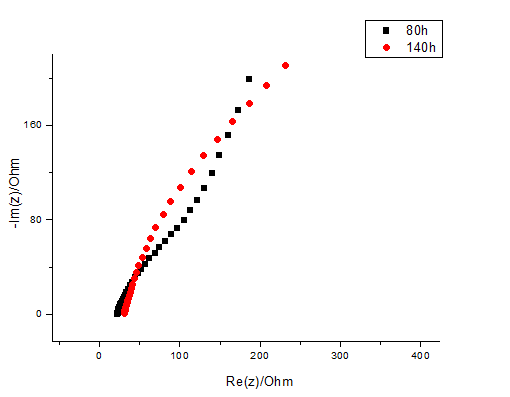
电化学阻抗图谱分析已有2人参与
|
|
|
|
||
断翼的天使金虫 (小有名气)
|
||
|
3楼2017-04-17 09:03:40
|
|
|
| 查看全部 4 个回答 | ||
阮之复兴金虫 (小有名气)
|
【答案】应助回帖
★ ★ ★
感谢参与,应助指数 +1 断翼的天使: 金币+3, ★★★很有帮助 2017-04-17 09:16:05
|
|
![]() |
||
|
2楼2017-04-15 23:38:19
|
|
|
![]() |
||
|
4楼2017-04-17 09:12:10
|
|
|










回复此楼
