| 查看: 1858 | 回复: 5 | ||
毅丝不挂木虫 (小有名气)
|
[求助]
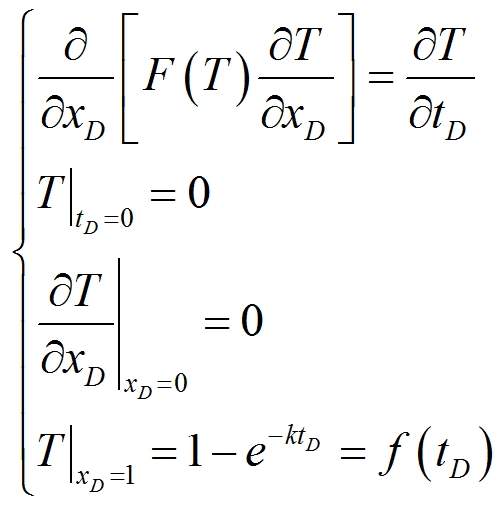
热传导方程,热传导系数随温度变化,边界条件随时间变化,如何求得近似的解析解?已有1人参与
|
|
![]() |
||
|
|
||
毅丝不挂木虫 (小有名气)
|
||
![]() |
||
|
2楼2017-03-31 10:32:09
|
|
|
meranl铁虫 (正式写手)
|
||
![]() |
||
|
3楼2017-03-31 11:15:42
|
|
|
毅丝不挂木虫 (小有名气)
|
||
![]() |
||
|
4楼2017-03-31 11:27:46
|
|
|
|
★ ★ ★ ★ ★ ★ ★ ★ ★ ★
感谢参与,应助指数 +1 毅丝不挂: 金币+10, ★★★很有帮助 2017-03-31 20:33:13
|
||
|
5楼2017-03-31 15:50:52
|
|
|
毅丝不挂木虫 (小有名气)
|
||
![]() |
||
|
6楼2017-03-31 20:35:03
|
|














回复此楼