| ²é¿´: 1431 | »Ø¸´: 7 | ||||
YMY_2016Òø³æ (ÕýʽдÊÖ)
|
[ÇóÖú]
Èý½Çº¯ÊýÇó½â ÒÑÓÐ4È˲ÎÓë
|
|
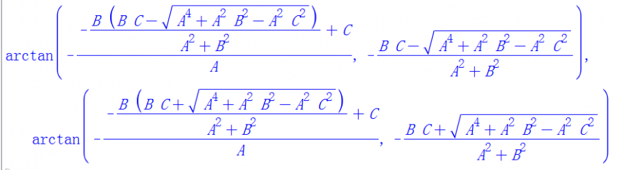
Asin£¨x£©+Bcos£¨x£©+C=0£¬Çóx£¿ ÆäÖÐA£¬B£¬C²»µÈÓÚ0µÄ³£Êý¡£ ÎÒÓû»Ôª·½·¨£¬t=cos£¨x£©µÃµ½tµÄÒ»Ôª¶þ´Î·½³Ì£¬½á¹ûµÂ¶ûËþÅбðÊÔСÓÚ0..... ²»ÖªµÀÄÄÀï³ö´íÁË¡£ Çó´óÉñ°ï棬ÓÐûÓбðµÄÇó½â·½·¨£¿ ·¢×ÔСľ³æIOS¿Í»§¶Ë |
» ²ÂÄãϲ»¶
346£¬¹¤¿Æ0854Çóµ÷¼Á£¬×¨Ë¶
ÒѾÓÐ7È˻ظ´
²ÄÁÏ¿¼Ñе÷¼Á
ÒѾÓÐ4È˻ظ´
283Çóµ÷¼Á£¬¹¤¿Æ£¡
ÒѾÓÐ11È˻ظ´
284Çóµ÷¼Á
ÒѾÓÐ13È˻ظ´
0854µ÷¼Á
ÒѾÓÐ3È˻ظ´
±¾ÈËÅ®º¢
ÒѾÓÐ7È˻ظ´
295·ÖÇóµ÷¼Á
ÒѾÓÐ7È˻ظ´
±¾¿Æ211 ¹¤¿Æ085400 280·ÖÇóµ÷¼Á ¿É¿çרҵ
ÒѾÓÐ11È˻ظ´
352 Çóµ÷¼Á
ÒѾÓÐ4È˻ظ´
085506-Çóµ÷¼Á-285·Ö
ÒѾÓÐ3È˻ظ´
hylpy
ר¼Ò¹ËÎÊ (ÖªÃû×÷¼Ò)
††ÂïÄØ°Èßä…Ë
-

ר¼Ò¾Ñé: +2500 - ÊýѧEPI: 7
- Ó¦Öú: 381 (˶ʿ)
- ¹ó±ö: 0.167
- ½ð±Ò: 51132.6
- É¢½ð: 5568
- ºì»¨: 410
- Ìû×Ó: 5093
- ÔÚÏß: 1102.4Сʱ
- ³æºÅ: 3247778
- ×¢²á: 2014-06-01
- ÐÔ±ð: GG
- רҵ: º¯ÊýÂÛ
- ¹ÜϽ: Êýѧ
¡¾´ð°¸¡¿Ó¦Öú»ØÌû
¡ï ¡ï ¡ï
¸Ðл²ÎÓ룬ӦÖúÖ¸Êý +1
Edstrayer: ½ð±Ò+3 2017-03-07 06:32:24
¸Ðл²ÎÓ룬ӦÖúÖ¸Êý +1
Edstrayer: ½ð±Ò+3 2017-03-07 06:32:24
|
½â·¨ÓÐÎÊÌâ¡£¿ÉÁî |

2Â¥2017-03-06 15:30:02
alober
ľ³æ (ÖøÃûдÊÖ)
- ÊýѧEPI: 1
- Ó¦Öú: 18 (СѧÉú)
- ½ð±Ò: 22815.2
- ºì»¨: 25
- Ìû×Ó: 2681
- ÔÚÏß: 473.6Сʱ
- ³æºÅ: 3331731
- ×¢²á: 2014-07-20
3Â¥2017-03-06 15:58:07
peterflyer
ľ³æÖ®Íõ (ÎÄѧ̩¶·)
peterflyer
- ÊýѧEPI: 10
- Ó¦Öú: 20282 (Ժʿ)
- ½ð±Ò: 146242
- ºì»¨: 1374
- Ìû×Ó: 93091
- ÔÚÏß: 7694.3Сʱ
- ³æºÅ: 1482829
- ×¢²á: 2011-11-08
- ÐÔ±ð: GG
- רҵ: ¹¦ÄÜÌÕ´É
4Â¥2017-03-06 17:11:14
peterflyer
ľ³æÖ®Íõ (ÎÄѧ̩¶·)
peterflyer
- ÊýѧEPI: 10
- Ó¦Öú: 20282 (Ժʿ)
- ½ð±Ò: 146242
- ºì»¨: 1374
- Ìû×Ó: 93091
- ÔÚÏß: 7694.3Сʱ
- ³æºÅ: 1482829
- ×¢²á: 2011-11-08
- ÐÔ±ð: GG
- רҵ: ¹¦ÄÜÌÕ´É
5Â¥2017-03-06 17:12:00
kjsy
Òø³æ (СÓÐÃûÆø)
- Ó¦Öú: 7 (Ó×¶ùÔ°)
- ½ð±Ò: 221.7
- É¢½ð: 6
- ºì»¨: 3
- Ìû×Ó: 289
- ÔÚÏß: 50.4Сʱ
- ³æºÅ: 3834390
- ×¢²á: 2015-04-26
- ÐÔ±ð: GG
- רҵ: ¹¤Òµ¹¤³ÌÓë¹ÜÀí

6Â¥2017-03-06 20:27:37
YMY_2016
Òø³æ (ÕýʽдÊÖ)
- Ó¦Öú: 0 (Ó×¶ùÔ°)
- ½ð±Ò: 1141
- É¢½ð: 220
- ºì»¨: 1
- ɳ·¢: 2
- Ìû×Ó: 444
- ÔÚÏß: 34.7Сʱ
- ³æºÅ: 5117290
- ×¢²á: 2016-10-13
- ÐÔ±ð: GG
- רҵ: ÐźÅÀíÂÛÓëÐźŴ¦Àí
7Â¥2017-03-06 23:13:44
ÔÂÖ»À¶
Ö÷¹ÜÇø³¤ (Ö°Òµ×÷¼Ò)
-

ר¼Ò¾Ñé: +1059 - Ó¦Öú: 1712 (½²Ê¦)
- ¹ó±ö: 8.888
- ½ð±Ò: 68129.7
- É¢½ð: 1938
- ºì»¨: 443
- ɳ·¢: 4
- Ìû×Ó: 4373
- ÔÚÏß: 3291.4Сʱ
- ³æºÅ: 1122189
- ×¢²á: 2010-10-14
- רҵ: ÓîÖæÑ§
- ¹ÜϽ: ¼ÆËãÄ£ÄâÇø

8Â¥2017-03-07 10:07:42













»Ø¸´´ËÂ¥