| 查看: 679 | 回复: 1 | ||||
| 本帖产生 1 个 ICEPI ,点击这里进行查看 | ||||
[求助]
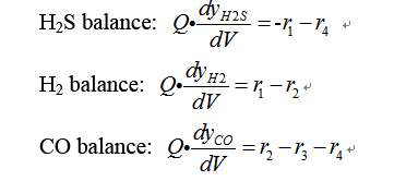
欧拉法求解微分方程求解反应速率系数 已有1人参与
|
||||
|
|
||||
| 回帖置顶 ( 共有1个 ) | ||||
mbchen新虫
|
【答案】应助回帖
★ ★ ★ ★ ★ ★ ★ ★ ★ ★ ★ ★ ★ ★ ★ ★ ★ ★ ★ ★ ★ ★ ★
dante1991: 金币+20, ★有帮助, 说明很详细 2017-01-09 08:22:53 冰点降温: 金币+3, ICEPI+1, 谢谢专家解答,辛苦了。解答很详细,具有普遍参考意义。 2017-01-09 09:40:47
|
|||
|
2楼2017-01-08 18:29:42
|
|
|||














回复此楼