| 查看: 845 | 回复: 4 | |
[求助]
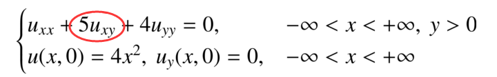
数理方程 拉氏变换已有3人参与
|
|
|
|
|
|
2楼2016-12-18 19:42:09
|
|
vect至尊木虫 (著名写手)
|
|
|
3楼2016-12-19 11:55:18
|
|
vect至尊木虫 (著名写手)
|
|
|
4楼2016-12-19 11:56:28
|
|
|
5楼2016-12-20 12:17:51
|
|














回复此楼