| ²é¿´: 2870 | »Ø¸´: 26 | ||
m_m_ingгæ (³õÈëÎÄ̳)
|
[ÇóÖú]
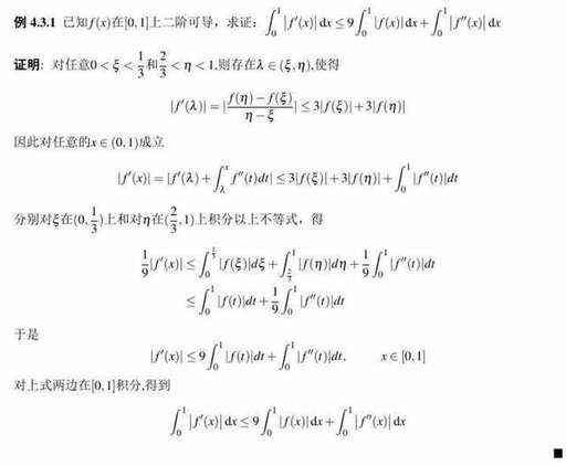
¸Ð¾õºÜÄѵÄÒ»µÀÊýѧ·ÖÎöÖ¤Ã÷Ì⣬ÇóÖú¸÷·´óÉñ ÒÑÓÐ4È˲ÎÓë
|
|
|
ÇóÖú°¡¸÷λ @laosam280 ·¢×ÔСľ³æIOS¿Í»§¶Ë |
» ²ÂÄãϲ»¶
346£¬¹¤¿Æ0854Çóµ÷¼Á£¬×¨Ë¶
ÒѾÓÐ7È˻ظ´
²ÄÁÏ¿¼Ñе÷¼Á
ÒѾÓÐ4È˻ظ´
283Çóµ÷¼Á£¬¹¤¿Æ£¡
ÒѾÓÐ11È˻ظ´
284Çóµ÷¼Á
ÒѾÓÐ13È˻ظ´
0854µ÷¼Á
ÒѾÓÐ3È˻ظ´
±¾ÈËÅ®º¢
ÒѾÓÐ7È˻ظ´
295·ÖÇóµ÷¼Á
ÒѾÓÐ7È˻ظ´
±¾¿Æ211 ¹¤¿Æ085400 280·ÖÇóµ÷¼Á ¿É¿çרҵ
ÒѾÓÐ11È˻ظ´
352 Çóµ÷¼Á
ÒѾÓÐ4È˻ظ´
085506-Çóµ÷¼Á-285·Ö
ÒѾÓÐ3È˻ظ´
» ±¾Ö÷ÌâÏà¹Ø¼ÛÖµÌùÍÆ¼ö£¬¶ÔÄúͬÑùÓаïÖú:
¿¼Ñи£Àû£¡ 2014¿¼ÑÐÊýѧ±Ø¿´ ÕÅÓî¸÷ÖÖ´ðÒɽâ»ó£¡
ÒѾÓÐ5È˻ظ´
ÃûУ˶ʿÉú̸¿¼Ñнݾ¶¡¾×ª¡¿
ÒѾÓÐ3È˻ظ´
½ñÄêºÜÊÇÐÒÔË
ÒѾÓÐ40È˻ظ´
¡¾×ªÔØ¡¿×Ü·Ö422£¬¶ÔÊýѧ£¬Ó¢ÓïµÄһЩ¾Àú£¨ºÜÃͺܸøÁ¦£© £¨ÖÐɽ´óÑ§ÇøÓò¾¼Ãѧ£©
ÒѾÓÐ51È˻ظ´
ÎÒµÄ8ÔÂ6ÈÕ ÐÂGRE ¾Ñé
ÒѾÓÐ9È˻ظ´
ǰ±²¸ßÊÖ¸æËßÄ㿼ÑÐÊýѧ±Ê¼Ç¸ÃÔõô×ö²ÅºÃ£¿
ÒѾÓÐ14È˻ظ´
¿çÓïÎÄ×öÊýѧ£¬ÄÇÓÖÕ¦¡£¡£Ë³±ã¸ÐлETS
ÒѾÓÐ3È˻ظ´
ÐÞÖñÒÀÃ×
ľ³æ (СÓÐÃûÆø)
- Ó¦Öú: 46 (СѧÉú)
- ½ð±Ò: 3566.6
- É¢½ð: 5
- ºì»¨: 6
- Ìû×Ó: 214
- ÔÚÏß: 123.3Сʱ
- ³æºÅ: 3312435
- ×¢²á: 2014-07-08
- ÐÔ±ð: GG
- רҵ: ¼ÆËãÊýѧÓë¿ÆÑ§¹¤³Ì¼ÆËã
¡¾´ð°¸¡¿Ó¦Öú»ØÌû
¡ï ¡ï ¡ï ¡ï ¡ï
m_m_ing(Edstrayer´ú·¢): ½ð±Ò+5 2017-01-10 02:59:16
m_m_ing(Edstrayer´ú·¢): ½ð±Ò+5 2017-01-10 02:59:16
17Â¥2016-12-09 00:52:40
wsxxc
гæ (СÓÐÃûÆø)
- Ó¦Öú: 2 (Ó×¶ùÔ°)
- ½ð±Ò: 474.9
- ºì»¨: 1
- Ìû×Ó: 108
- ÔÚÏß: 6.8Сʱ
- ³æºÅ: 5086856
- ×¢²á: 2016-10-05
- רҵ: ¸ÅÂÊÂÛÓëËæ»ú·ÖÎö
¡ï ¡ï ¡ï ¡ï ¡ï
m_m_ing(Edstrayer´ú·¢): ½ð±Ò+5 2017-01-10 02:59:38
m_m_ing(Edstrayer´ú·¢): ½ð±Ò+5 2017-01-10 02:59:38
20Â¥2016-12-09 11:47:38
ССѡ
ľ³æ (ÕýʽдÊÖ)
- Ó¦Öú: 3 (Ó×¶ùÔ°)
- ½ð±Ò: 4312.1
- ºì»¨: 1
- Ìû×Ó: 334
- ÔÚÏß: 64.9Сʱ
- ³æºÅ: 730516
- ×¢²á: 2009-03-25
- ÐÔ±ð: GG
- רҵ: ƫ΢·Ö·½³Ì
¡¾´ð°¸¡¿Ó¦Öú»ØÌû
¸Ðл²ÎÓ룬ӦÖúÖ¸Êý +1
| Èô$f'(x)$ÔÚ[0,1]ÉϱäºÅ£¬Éè$f'(x_0)$£¬Ôò$|f'(x)|=|f'(x)-f'(x_0)|=\int_{x_0}^x f''(t)dt \leq \int_{x_0}^x |f''(t)|dt \leq \int_0^1 f''(t)dt$£¬È»ºóÁ½±ßͬʱ»ý·Ö£¬µÃµ½½áÂÛ³ÉÁ¢£»µ«ÊÇÈç¹û²»±äºÅ£¬ÎÒ»¹Ã»Åª³öÀ´¡£¡£¡£ |

4Â¥2016-12-08 10:14:13
ÐÞÖñÒÀÃ×
ľ³æ (СÓÐÃûÆø)
- Ó¦Öú: 46 (СѧÉú)
- ½ð±Ò: 3566.6
- É¢½ð: 5
- ºì»¨: 6
- Ìû×Ó: 214
- ÔÚÏß: 123.3Сʱ
- ³æºÅ: 3312435
- ×¢²á: 2014-07-08
- ÐÔ±ð: GG
- רҵ: ¼ÆËãÊýѧÓë¿ÆÑ§¹¤³Ì¼ÆËã
18Â¥2016-12-09 00:54:12
ССѡ
ľ³æ (ÕýʽдÊÖ)
- Ó¦Öú: 3 (Ó×¶ùÔ°)
- ½ð±Ò: 4312.1
- ºì»¨: 1
- Ìû×Ó: 334
- ÔÚÏß: 64.9Сʱ
- ³æºÅ: 730516
- ×¢²á: 2009-03-25
- ÐÔ±ð: GG
- רҵ: ƫ΢·Ö·½³Ì

6Â¥2016-12-08 11:08:53
2Â¥2016-12-08 07:53:46
m_m_ing
гæ (³õÈëÎÄ̳)
- Ó¦Öú: 1 (Ó×¶ùÔ°)
- ½ð±Ò: 303.8
- ºì»¨: 2
- Ìû×Ó: 45
- ÔÚÏß: 4.9Сʱ
- ³æºÅ: 4124519
- ×¢²á: 2015-10-07
- רҵ: ÊýÀíͳ¼Æ
3Â¥2016-12-08 08:16:06
ССѡ
ľ³æ (ÕýʽдÊÖ)
- Ó¦Öú: 3 (Ó×¶ùÔ°)
- ½ð±Ò: 4312.1
- ºì»¨: 1
- Ìû×Ó: 334
- ÔÚÏß: 64.9Сʱ
- ³æºÅ: 730516
- ×¢²á: 2009-03-25
- ÐÔ±ð: GG
- רҵ: ƫ΢·Ö·½³Ì

5Â¥2016-12-08 10:39:20
m_m_ing
гæ (³õÈëÎÄ̳)
- Ó¦Öú: 1 (Ó×¶ùÔ°)
- ½ð±Ò: 303.8
- ºì»¨: 2
- Ìû×Ó: 45
- ÔÚÏß: 4.9Сʱ
- ³æºÅ: 4124519
- ×¢²á: 2015-10-07
- רҵ: ÊýÀíͳ¼Æ
7Â¥2016-12-08 12:52:44
ÄäÃû
Óû§×¢Ïú (ÕýʽдÊÖ)
- Ó¦Öú: 0 (Ó×¶ùÔ°)
- ½ð±Ò: 476.5
- É¢½ð: 304
- ºì»¨: 4
- Ìû×Ó: 449
- ÔÚÏß: 174.6Сʱ
- ³æºÅ: 0
- ×¢²á: 2014-07-07
- רҵ: ʳƷ¼Ó¹¤Ñ§»ù´¡
8Â¥2016-12-08 16:09:49
m_m_ing
гæ (³õÈëÎÄ̳)
- Ó¦Öú: 1 (Ó×¶ùÔ°)
- ½ð±Ò: 303.8
- ºì»¨: 2
- Ìû×Ó: 45
- ÔÚÏß: 4.9Сʱ
- ³æºÅ: 4124519
- ×¢²á: 2015-10-07
- רҵ: ÊýÀíͳ¼Æ
9Â¥2016-12-08 16:35:43
ÄäÃû
Óû§×¢Ïú (ÕýʽдÊÖ)
- Ó¦Öú: 0 (Ó×¶ùÔ°)
- ½ð±Ò: 476.5
- É¢½ð: 304
- ºì»¨: 4
- Ìû×Ó: 449
- ÔÚÏß: 174.6Сʱ
- ³æºÅ: 0
- ×¢²á: 2014-07-07
- רҵ: ʳƷ¼Ó¹¤Ñ§»ù´¡
10Â¥2016-12-08 16:40:39













»Ø¸´´ËÂ¥
