| 查看: 1227 | 回复: 18 | ||
363008918金虫 (初入文坛)
|
[求助]
微分方程组的求解已有1人参与
|
|
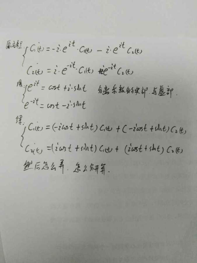
我这里有一个:一阶,变系数(且系数里还含有虚数i),三个方程的微分方程组需要求解,可接受文献帮助,让我明白怎么去做就好,谢谢了。。。 @laosam280 发自小木虫Android客户端 |
» 猜你喜欢
请问有评职称,把科研教学业绩算分排序的高校吗
已经有4人回复
孩子确诊有中度注意力缺陷
已经有12人回复
2025冷门绝学什么时候出结果
已经有3人回复
天津工业大学郑柳春团队欢迎化学化工、高分子化学或有机合成方向的博士生和硕士生加入
已经有4人回复
康复大学泰山学者周祺惠团队招收博士研究生
已经有6人回复
AI论文写作工具:是科研加速器还是学术作弊器?
已经有3人回复
2026博士申请-功能高分子,水凝胶方向
已经有6人回复
论文投稿,期刊推荐
已经有4人回复
硕士和导师闹得不愉快
已经有13人回复
请问2026国家基金面上项目会启动申2停1吗
已经有5人回复
» 本主题相关价值贴推荐,对您同样有帮助:
常微分方程组的求解
已经有0人回复
求助各位大神,系数时变的微分方程组的求解
已经有1人回复
偏微分方程组的求解
已经有3人回复
一个比较简单的常微分方程组的求解
已经有1人回复
一个偏微分方程组的求解问题
已经有5人回复
量子光学中复系数微分方程组的求解,求求大神帮帮忙!
已经有0人回复
抛物型的偏微分方程组的求解
已经有1人回复
非线性微分方程组的求解
已经有5人回复
关于微分方程组的求解
已经有4人回复
一个微分方程组,求解
已经有18人回复
一个偏微分方程组的求解
已经有7人回复
2楼2016-11-19 17:12:37
363008918
金虫 (初入文坛)
- 应助: 0 (幼儿园)
- 金币: 532.8
- 散金: 20
- 帖子: 28
- 在线: 8.3小时
- 虫号: 4118054
- 注册: 2015-10-04
- 专业: 等离子体物理
3楼2016-11-19 19:52:49
4楼2016-11-19 19:56:21
363008918
金虫 (初入文坛)
- 应助: 0 (幼儿园)
- 金币: 532.8
- 散金: 20
- 帖子: 28
- 在线: 8.3小时
- 虫号: 4118054
- 注册: 2015-10-04
- 专业: 等离子体物理
5楼2016-11-19 20:27:16
363008918
金虫 (初入文坛)
- 应助: 0 (幼儿园)
- 金币: 532.8
- 散金: 20
- 帖子: 28
- 在线: 8.3小时
- 虫号: 4118054
- 注册: 2015-10-04
- 专业: 等离子体物理
6楼2016-11-20 17:04:27
363008918
金虫 (初入文坛)
- 应助: 0 (幼儿园)
- 金币: 532.8
- 散金: 20
- 帖子: 28
- 在线: 8.3小时
- 虫号: 4118054
- 注册: 2015-10-04
- 专业: 等离子体物理
7楼2016-11-20 17:06:01
8楼2016-11-20 18:05:20
363008918
金虫 (初入文坛)
- 应助: 0 (幼儿园)
- 金币: 532.8
- 散金: 20
- 帖子: 28
- 在线: 8.3小时
- 虫号: 4118054
- 注册: 2015-10-04
- 专业: 等离子体物理
9楼2016-11-20 18:09:07
10楼2016-11-20 18:22:43














回复此楼