| ²é¿´: 2032 | »Ø¸´: 9 | ||||
ÌïÒµ³ÉÒø³æ (³õÈëÎÄ̳)
|
[ÇóÖú]
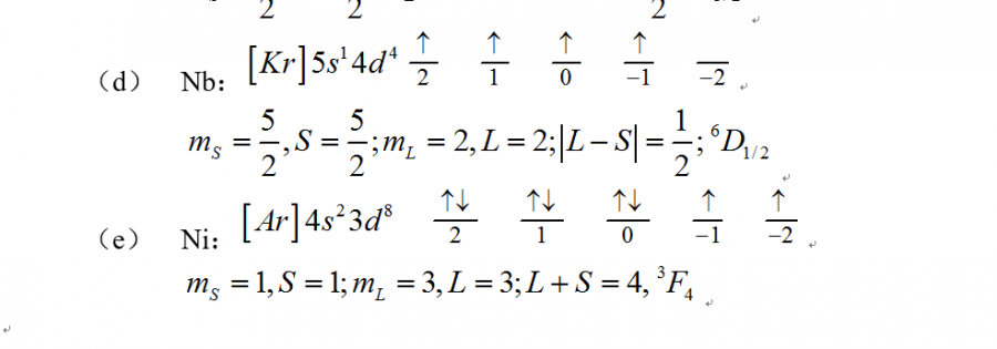
¹ØÓÚÔ×Ó¹ìµÀÖÐÇó½âÄÜÁ¿×îµÍµÄ¹âÆ×Ö§ÏîµÄÎÊÌâ ÒÑÓÐ2È˲ÎÓë
|
|||
|
|
||||
ÎÒÏë¸ü¶®Äã29ר¼Ò¹ËÎÊ (ÎÄ̳¾«Ó¢)
|
¡¾´ð°¸¡¿Ó¦Öú»ØÌû
¡ï
¸Ðл²ÎÓ룬ӦÖúÖ¸Êý +1 ±ùµã½µÎÂ: ½ð±Ò+1, ллר¼ÒÓ¦Öú½â´ð£¬ÐÁ¿àÁË¡£ 2016-11-08 14:10:51
|
|||
![]() |
||||
|
2Â¥2016-11-08 13:57:41
|
|
|||
ÎÒÏë¸ü¶®Äã29ר¼Ò¹ËÎÊ (ÎÄ̳¾«Ó¢)
|
¡¾´ð°¸¡¿Ó¦Öú»ØÌû
|
|||
![]() |
||||
|
3Â¥2016-11-08 16:22:58
|
|
|||
ÎÒÏë¸ü¶®Äã29ר¼Ò¹ËÎÊ (ÎÄ̳¾«Ó¢)
|
¡ï ¡ï ¡ï ¡ï ¡ï
±ùµã½µÎÂ: ½ð±Ò+1, ллר¼ÒÓ¦Öú½â´ð£¬ÐÁ¿àÁË¡£ 2016-11-09 10:18:49 ÌïÒµ³É(±ùµã½µÎ´ú·¢): ½ð±Ò+4 2016-11-09 10:18:57
» ±¾ÌûÒÑ»ñµÃµÄºì»¨£¨×îÐÂ10¶ä£© |
|||
![]() |
||||
|
4Â¥2016-11-08 16:23:49
|
|
|||
ÌïÒµ³ÉÒø³æ (³õÈëÎÄ̳)
|
||||
|
5Â¥2016-11-09 13:26:56
|
|
|||
ÌïÒµ³ÉÒø³æ (³õÈëÎÄ̳)
|
||||
|
6Â¥2016-11-09 13:28:09
|
|
|||
¹ÈÖÐÃ÷ÖÁ×ðľ³æ (ÖøÃûдÊÖ)
|
||||
|
7Â¥2016-11-09 14:00:38
|
|
|||
ÎÒÏë¸ü¶®Äã29ר¼Ò¹ËÎÊ (ÎÄ̳¾«Ó¢)
|
||||
![]() |
||||
|
8Â¥2016-11-09 14:24:21
|
|
|||
ÌïÒµ³ÉÒø³æ (³õÈëÎÄ̳)
|
||||
|
9Â¥2016-11-11 15:40:37
|
|
|||
ÌïÒµ³ÉÒø³æ (³õÈëÎÄ̳)
|
||||
|
10Â¥2016-11-11 15:40:48
|
|














»Ø¸´´ËÂ¥

ÌïÒµ³É