| 查看: 1437 | 回复: 25 | |||
| 当前只显示满足指定条件的回帖,点击这里查看本话题的所有回帖 | |||
i维数木虫 (正式写手)
|
[求助]
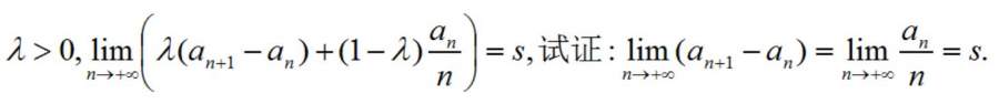
求教数列极限已有3人参与
|
||
|
|
|||
i维数木虫 (正式写手)
|
|||
|
10楼2016-11-05 10:58:45
|
|
||
| 查看全部 26 个回答 | |||
hylpy专家顾问 (知名作家)
唵嘛呢叭咪吽
|
|||
![]() |
|||
|
2楼2016-11-04 13:11:24
|
|
||
hylpy专家顾问 (知名作家)
唵嘛呢叭咪吽
|
|||
![]() |
|||
|
3楼2016-11-04 13:13:31
|
|
||
junefi铁杆木虫 (正式写手)
|
|||
![]() |
|||
|
4楼2016-11-04 15:56:07
|
|
||













回复此楼


