| 查看: 4424 | 回复: 9 | |||
remaerd金虫 (小有名气)
|
[求助]
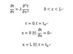
怎么用mathematica求下面这个导热方程的解析解? 已有4人参与
|
||
|
|
|||
|
2楼2016-10-23 16:45:49
|
|
||
remaerd金虫 (小有名气)
|
|||
|
3楼2016-10-23 16:57:00
|
|
||
|
4楼2016-10-23 17:48:56
|
|
||
|
5楼2016-10-24 00:08:39
|
|
||
Mr__Right专家顾问 (著名写手)
|
|||
![]() |
|||
|
6楼2016-10-25 15:14:20
|
|
||
|
感谢参与,应助指数 +1
|
|||
|
7楼2016-10-25 17:35:05
|
|
||
|
|||
|
8楼2016-10-25 18:09:45
|
|
||
![]() |
|||
|
9楼2016-12-17 13:40:37
|
|
||
![]() |
|||
|
10楼2016-12-17 13:41:52
|
|













回复此楼
remaerd
