| 查看: 521 | 回复: 3 | |||
[求助]
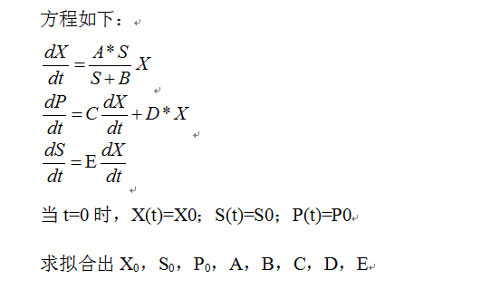
大神求助,动力学拟合参数 已有1人参与
|
|||
|
|
|||
|
2楼2016-09-21 08:24:15
|
|
||
|
3楼2017-01-09 20:43:33
|
|
||
512095518专家顾问 (正式写手)
|
|||
![]() |
|||
|
4楼2017-01-10 16:32:23
|
|














回复此楼

