| ²é¿´: 1482 | »Ø¸´: 7 | ||
luckydog11Ìú³æ (³õÈëÎÄ̳)
|
[ÇóÖú]
¸´ÔÓ¶¯Á¦Ñ§·½³ÌÄâºÏÇóÖú
|
Áôѧ |
» ²ÂÄãϲ»¶
ɽÎ÷´óͬ´óѧÎïÀíѧ˶ʿÑо¿ÉúÕÐÊÕµ÷¼ÁÉú
ÒѾÓÐ0È˻ظ´
[µ÷¼ÁÐÅÏ¢]211ÖÇÄÜÈ˹¤¸ÐÖª·½Ïò¹ú¼ÒÇàÄêÌØÆ¸×¨¼Ò¿ÎÌâ×éÕÐÊÕµ÷¼ÁÑо¿Éú
ÒѾÓÐ0È˻ظ´
ÎïÀíѧIÂÛÎÄÈóÉ«/·ÒëÔõôÊÕ·Ñ?
ÒѾÓÐ281È˻ظ´
£Ûµ÷¼ÁÐÅÏ¢£Ý211ÖÇÄÜÈ˹¤¸ÐÖª·½Ïò¹ú¼ÒÇàÄêÌØÆ¸×¨¼Ò¿ÎÌâ×éÕÐÊÕµ÷¼ÁÑо¿Éú
ÒѾÓÐ0È˻ظ´
[µ÷¼ÁÐÅÏ¢]211ÖÇÄÜÈ˹¤¸ÐÖª·½Ïò¹ú¼ÒÇàÄêÌØÆ¸×¨¼Ò¿ÎÌâ×éÕÐÊÕµ÷¼ÁÑо¿Éú
ÒѾÓÐ0È˻ظ´
0702Ò»Ö¾Ô¸¼ª´óBÇøÇóµ÷¼Á ±¾¿ÆÆÚ¼ä·¢±íһƪSci
ÒѾÓÐ2È˻ظ´
070200Çóµ÷¼Á£¬Ò»Ö¾Ô¸Ä³211£¬288·Ö
ÒѾÓÐ18È˻ظ´
·¨¹ú²©Ê¿ºóְλ
ÒѾÓÐ0È˻ظ´
ÖØÇì½»´ó26Äê˶ʿÉúÕÐÉúÄâµ÷¼Á֪ͨÒѳö£¡»¶Ó¼ÓÈë»úÆ÷ÊÓ¾õÓë3D¹âѧ³ÉÏñ¿ÎÌâ×é¡£
ÒѾÓÐ0È˻ظ´
» ±¾Ö÷ÌâÏà¹Ø¼ÛÖµÌùÍÆ¼ö£¬¶ÔÄúͬÑùÓаïÖú:
¶¯Á¦Ñ§·½³Ì²ÎÊý¹À¼Æ·½·¨
ÒѾÓÐ14È˻ظ´
Ë«ÏදÁ¦Ñ§·½³Ì
ÒѾÓÐ3È˻ظ´
×öÎü¸½¶¯Á¦Ñ§ÊµÑéÈÜÒºÌå»ý´óÔ¼¶àÉÙ?
ÒѾÓÐ12È˻ظ´
¶¯Á¦Ñ§²ÎÊýÄâºÏ
ÒѾÓÐ26È˻ظ´
matlab ÇóÖ¸µã ¶¯Á¦Ñ§·½³ÌÄâºÏ¹ý³ÌÖе¼ÊýµÄ»ñÈ¡
ÒѾÓÐ10È˻ظ´
Îü¸½µÄ¶¯Á¦Ñ§·½³ÌÄâºÏ
ÒѾÓÐ18È˻ظ´
originÄâºÏÇóÖú
ÒѾÓÐ6È˻ظ´
¡¾ÇóÖú¡¿ÓÃmatlab×îÓÅ»¯·½·¨½øÐвÎÊýÄâºÏ
ÒѾÓÐ17È˻ظ´
¡¾ÇóÖú¡¿ÄâºÏ¶¯Á¦Ñ§·½³ÌÇóÖú
ÒѾÓÐ13È˻ظ´
ÇóÖú¹ØÓÚÏßÐÔÄâºÏµÄ
ÒѾÓÐ1È˻ظ´
¡¾Ô´´¡¿Ò»¼¶¶¯Á¦Ñ§·½³ÌÄâºÏÇóÖú
ÒѾÓÐ8È˻ظ´
origin£¬sigmaplotµÈÈí¼þ×Ô¶¨ÒåÇúÏßÄâºÏ£¨Ö÷ÒªÊÇһЩ¶¯Á¦Ñ§·½³ÌµÄÄ£Ä⣩
ÒѾÓÐ2È˻ظ´
ÇóÖúOrigin8.0ÄâºÏ·½³Ì
ÒѾÓÐ6È˻ظ´
¡¾ÇóÖú¡¿¹â´ß»¯¶¯Á¦Ñ§·½³ÌÄâºÏ
ÒѾÓÐ7È˻ظ´
¡¾ÇóÖú¡¿Çë½ÌÎü¸½¶¯Á¦Ñ§·½³Ì
ÒѾÓÐ4È˻ظ´
¡¾ÇóÖú¡¿Ê¹ÓÃMatlabÄâºÏ·´Ó¦¶¯Á¦Ñ§·½³ÌÎÊÌâ
ÒѾÓÐ7È˻ظ´
luckydog11
Ìú³æ (³õÈëÎÄ̳)
- Ó¦Öú: 1 (Ó×¶ùÔ°)
- ½ð±Ò: 342.2
- ºì»¨: 2
- Ìû×Ó: 30
- ÔÚÏß: 48Сʱ
- ³æºÅ: 1414250
- ×¢²á: 2011-09-23
- ÐÔ±ð: MM
- רҵ: »·¾³¹¤³Ì
2Â¥2013-04-29 12:05:19
wlxydgq
Ìú³æ (ÕýʽдÊÖ)
- ¼ÆËãÇ¿Ìû: 1
- Ó¦Öú: 24 (СѧÉú)
- ½ð±Ò: 1961.4
- ºì»¨: 1
- Ìû×Ó: 321
- ÔÚÏß: 65.2Сʱ
- ³æºÅ: 413150
- ×¢²á: 2007-06-26
- ÐÔ±ð: GG
- רҵ: Äý¾Û̬ÎïÐÔI:½á¹¹¡¢Á¦Ñ§ºÍ
3Â¥2013-04-29 18:14:58
wlxydgq
Ìú³æ (ÕýʽдÊÖ)
- ¼ÆËãÇ¿Ìû: 1
- Ó¦Öú: 24 (СѧÉú)
- ½ð±Ò: 1961.4
- ºì»¨: 1
- Ìû×Ó: 321
- ÔÚÏß: 65.2Сʱ
- ³æºÅ: 413150
- ×¢²á: 2007-06-26
- ÐÔ±ð: GG
- רҵ: Äý¾Û̬ÎïÐÔI:½á¹¹¡¢Á¦Ñ§ºÍ
¡¾´ð°¸¡¿Ó¦Öú»ØÌû
¡ï ¡ï ¡ï ¡ï ¡ï ¡ï ¡ï ¡ï ¡ï ¡ï ¡ï ¡ï ¡ï ¡ï ¡ï ¡ï ¡ï ¡ï ¡ï ¡ï ¡ï
luckydog11: ½ð±Ò+20, ¡ï¡ï¡ïºÜÓаïÖú 2013-05-01 09:06:32
csgt0: ½ð±Ò+1, лл 2013-05-02 09:42:03
luckydog11: ½ð±Ò+20, ¡ï¡ï¡ïºÜÓаïÖú 2013-05-01 09:06:32
csgt0: ½ð±Ò+1, лл 2013-05-02 09:42:03
|
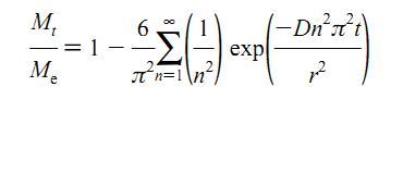
ÎÒ¿´ÁË¿´£¬Èç¹ûnÎÞÇî´óµÄʱºò£¬±í´ïʽӦ¸ÃΪ0£¬ËùÒÔ£¬ÄãÏȰÑnµÄÉÏÏÞȡһ¸öÓÐÏÞÖµ£¬ËãËã¿´ ÕûÀíÒ»ÏÂ˼·£º 1¡¢°Ñnȡһ¸öСµãµÄÊýÖµ£¬±ÈÈç10£¬ÕâÑù¿ÉÒÔ²»Ó°Ïì¼ÆËãµÄËÙ¶È£¬¼ÆËã³öD1À´£» 2¡¢ÓüÆËã³öÀ´µÄD1µ±×÷³õÖµ£¬È»ºó°ÑnµÄÉÏÏÞÈ¡´óµã£¬±ÈÈçÔÙÈ¡20£¬ÔٵóöD2À´£» 3¡¢ÔÙÓÃD2µ±×÷³õÖµ£¬ÔÙ°ÑnµÄÉÏÏÞÔÙÀ©´ó£¬±ÈÈç30£¬ÔÙÄâºÏ³öD3£» 4¡¢ÒÔ´ËÀàÍÆ£¬ÊÇ·ñ¿ÉÒԵõ½×îÖÕµÄDÖµ£¬µ±È»ÁË£¬Èç¹ûÄãµÄ¼ÆËã»úÅäÖúܸߣ¬ÕâÑùµÄ²½Öè¿ÉÒÔÊ¡ºÜ¶à£» 5¡¢Èç¹û¼ÆËã»úÅäÖÃÒ»°ã£¬×îºóÄã¿ÉÒÔÓöþ·Ö·¨ÊÔÊÔ¿´£¬¾ÍÊǰÑDÈ·¶¨Ò»¸ö·¶Î§[D1£¬D2]£¬È»ºó¶þ·Ö·¨×îÖÕÈ·¶¨ÆäDµÄÊýÖµ¡£ |
4Â¥2013-04-29 18:21:08
wlxydgq
Ìú³æ (ÕýʽдÊÖ)
- ¼ÆËãÇ¿Ìû: 1
- Ó¦Öú: 24 (СѧÉú)
- ½ð±Ò: 1961.4
- ºì»¨: 1
- Ìû×Ó: 321
- ÔÚÏß: 65.2Сʱ
- ³æºÅ: 413150
- ×¢²á: 2007-06-26
- ÐÔ±ð: GG
- רҵ: Äý¾Û̬ÎïÐÔI:½á¹¹¡¢Á¦Ñ§ºÍ
5Â¥2013-04-29 18:22:41
onesupeng
½ð³æ (Ö°Òµ×÷¼Ò)
- ¼ÆËãÇ¿Ìû: 13
- Ó¦Öú: 256 (´óѧÉú)
- ¹ó±ö: 1.36
- ½ð±Ò: 2336.2
- É¢½ð: 9228
- ºì»¨: 92
- Ìû×Ó: 4583
- ÔÚÏß: 1303.8Сʱ
- ³æºÅ: 394701
- ×¢²á: 2007-06-07
- רҵ: Á÷ÌåÁ¦Ñ§

6Â¥2013-05-10 00:48:06
wlxydgq
Ìú³æ (ÕýʽдÊÖ)
- ¼ÆËãÇ¿Ìû: 1
- Ó¦Öú: 24 (СѧÉú)
- ½ð±Ò: 1961.4
- ºì»¨: 1
- Ìû×Ó: 321
- ÔÚÏß: 65.2Сʱ
- ³æºÅ: 413150
- ×¢²á: 2007-06-26
- ÐÔ±ð: GG
- רҵ: Äý¾Û̬ÎïÐÔI:½á¹¹¡¢Á¦Ñ§ºÍ
7Â¥2013-05-11 00:33:30
stylejun
ͳæ (СÓÐÃûÆø)
- Ó¦Öú: 0 (Ó×¶ùÔ°)
- ½ð±Ò: 51.8
- ºì»¨: 5
- Ìû×Ó: 133
- ÔÚÏß: 81Сʱ
- ³æºÅ: 1823660
- ×¢²á: 2012-05-18
- ÐÔ±ð: GG
- רҵ: ʯÓÍÌìÈ»Æø¿ª²É
8Â¥2014-06-28 09:56:59















»Ø¸´´ËÂ¥