版块导航
正在加载中...
客户端APP下载
论文辅导
申博辅导
登录
注册
帖子
帖子
用户
本版
应《网络安全法》要求,自2017年10月1日起,未进行实名认证将不得使用互联网跟帖服务。为保障您的帐号能够正常使用,请尽快对帐号进行手机号验证,感谢您的理解与支持!
24小时热门版块排行榜
>
论坛更新日志
(1048)
>
虫友互识
(90)
>
导师招生
(49)
>
硕博家园
(35)
>
考博
(30)
>
找工作
(18)
>
论文道贺祈福
(14)
>
文献求助
(13)
>
考研
(6)
>
论文投稿
(6)
>
功能材料
(5)
>
招聘信息布告栏
(4)
>
绿色求助(高悬赏)
(4)
>
教师之家
(4)
>
休闲灌水
(4)
>
海外博后
(2)
小木虫论坛-学术科研互动平台
»
化学化工区
»
分析
»
质谱分析
»
请问我是质谱,负离子模式,碎片离子能带正电荷吗?谢谢
9
1/1
返回列表
查看: 2772 | 回复: 8
只看楼主
@他人
存档
新回复提醒
(忽略)
收藏
在APP中查看
shixianbao
新虫
(小有名气)
应助: 0
(幼儿园)
金币: 91
帖子: 84
在线: 19.1小时
虫号: 2877819
注册: 2013-12-17
专业: 药物代谢与药物动力学
[
求助
]
请问我是质谱,负离子模式,碎片离子能带正电荷吗?谢谢
已有3人参与
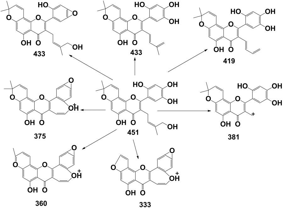
请问我是质谱,负离子模式,碎片离子能带正电荷吗?
M8.jpg
回复此楼
» 猜你喜欢
博士读完未来一定会好吗
已经有21人回复
导师想让我从独立一作变成了共一第一
已经有5人回复
到新单位后,换了新的研究方向,没有团队,持续积累2区以上论文,能申请到面上吗
已经有11人回复
读博
已经有4人回复
JMPT 期刊投稿流程
已经有4人回复
心脉受损
已经有5人回复
Springer期刊投稿求助
已经有4人回复
小论文投稿
已经有3人回复
Bioresource Technology期刊,第一次返修的时候被退回好几次了
已经有9人回复
申请2026年博士
已经有6人回复
» 本主题相关价值贴推荐,对您同样有帮助:
请问关于质谱解析问题,谢谢
已经有8人回复
请问关于质谱解析问题
已经有2人回复
关于正负离子盐的质谱
已经有4人回复
[HPLC常见问题]鬼峰、基线漂移、拖尾、分叉峰、保留时间漂移、柱压过高等系列问题
已经有54人回复
质谱ESI-API负离子测的分子量比实际值大2
已经有0人回复
准分子离子可以计算其键断裂能么?
已经有0人回复
HPLC-Q-TOF峰如何分开
已经有1人回复
质谱解析求助!一维和二维谱都有 分子离子峰负离子图大于正离子
已经有2人回复
羧酸类物质测ESI-TOF,应该测试正离子还是负离子?
已经有3人回复
求助分子量为281.1的化合物的质谱解析?
已经有9人回复
高分辨质谱ESI推测结构式不含产物结构式
已经有0人回复
离子液体打质谱怎么选择
已经有0人回复
请问大家带碘负离子的化合物的高分辨质谱该怎么分析啊?
已经有6人回复
【求助】关于ESI-Q-TOF
已经有1人回复
【求助】质谱分析
已经有15人回复
【资源】液相色谱常见问题及处理方法
已经有43人回复
1楼
2016-07-22 13:10:37
已阅
回复此楼
关注TA
给TA发消息
送TA红花
TA的回帖
shixianbao
新虫
(小有名气)
应助: 0
(幼儿园)
金币: 91
帖子: 84
在线: 19.1小时
虫号: 2877819
注册: 2013-12-17
专业: 药物代谢与药物动力学
All the MS experiments were conducted in the negative ions mode. However, the fragment ions drawn in Figure 5 to unknown reasons bear positive charges!!!!
赞
一下
回复此楼
2楼
2016-07-22 13:13:42
已阅
回复此楼
关注TA
给TA发消息
送TA红花
TA的回帖
wy19871124
新虫
(职业作家)
质谱首席顾问
ACI: 2
应助: 551
(博士)
金币: 1607.6
散金: 959
红花: 183
帖子: 3052
在线: 447.4小时
虫号: 1593016
注册: 2012-01-31
性别: GG
专业: 质谱分析
不会带正电荷,只能带负电荷
发自小木虫Android客户端
赞
一下
(1人)
回复此楼
3楼
2016-07-22 18:15:52
已阅
回复此楼
关注TA
给TA发消息
送TA红花
TA的回帖
wy19871124
新虫
(职业作家)
质谱首席顾问
ACI: 2
应助: 551
(博士)
金币: 1607.6
散金: 959
红花: 183
帖子: 3052
在线: 447.4小时
虫号: 1593016
注册: 2012-01-31
性别: GG
专业: 质谱分析
你所画的裂解途径错误很多
发自小木虫Android客户端
赞
一下
(1人)
回复此楼
4楼
2016-07-22 18:16:41
已阅
回复此楼
关注TA
给TA发消息
送TA红花
TA的回帖
cher33448
新虫
(初入文坛)
应助: 7
(幼儿园)
金币: 6.1
红花: 3
帖子: 34
在线: 11.7小时
虫号: 2475849
注册: 2013-05-22
【答案】应助回帖
感谢参与,应助指数 +1
其实这个正离子会出峰,可以试试,我以前做过有些化合物,是用负离子做的,但是打碎片的时候不出峰。
赞
一下
(1人)
回复此楼
5楼
2016-07-22 21:36:17
已阅
回复此楼
关注TA
给TA发消息
送TA红花
TA的回帖
shixianbao
新虫
(小有名气)
应助: 0
(幼儿园)
金币: 91
帖子: 84
在线: 19.1小时
虫号: 2877819
注册: 2013-12-17
专业: 药物代谢与药物动力学
引用回帖:
4楼
:
Originally posted by
wy19871124
at 2016-07-22 18:16:41
你所画的裂解途径错误很多
请问,错误在哪里?不吝指教,谢谢
赞
一下
回复此楼
6楼
2016-07-24 21:23:21
已阅
回复此楼
关注TA
给TA发消息
送TA红花
TA的回帖
shixianbao
新虫
(小有名气)
应助: 0
(幼儿园)
金币: 91
帖子: 84
在线: 19.1小时
虫号: 2877819
注册: 2013-12-17
专业: 药物代谢与药物动力学
引用回帖:
4楼
:
Originally posted by
wy19871124
at 2016-07-22 18:16:41
你所画的裂解途径错误很多
请问错误在哪里?不吝指教,谢谢!
赞
一下
回复此楼
7楼
2016-07-24 21:24:19
已阅
回复此楼
关注TA
给TA发消息
送TA红花
TA的回帖
irvine2015
木虫
(著名写手)
应助: 57
(初中生)
金币: 5456
红花: 7
帖子: 1933
在线: 109.7小时
虫号: 3863593
注册: 2015-05-11
性别: GG
专业: 质谱分析
【答案】应助回帖
不会带正电荷,只能带负电荷. 其实这个能正离子会出峰,可以试试用正离子。
赞
一下
回复此楼
广州是我的风水宝地!
8楼
2016-07-26 03:52:20
已阅
回复此楼
关注TA
给TA发消息
送TA红花
TA的回帖
匿名
用户注销
(知名作家)
精修问题可私信
ACI: 5
应助: 2712
(讲师)
贵宾: 0.836
金币: 38463.5
散金: 1801
红花: 400
帖子: 5825
在线: 1932.4小时
虫号: 0
注册: 2008-10-05
性别: GG
专业: 药物分析
管辖:
晶体
本帖仅楼主可见
赞
一下
9楼
2016-07-26 17:43:52
已阅
申请ACI
回复此楼
编辑
查看我的主页
相关版块跳转
有机交流
有机资源
高分子
无机/物化
分析
催化
工艺技术
化工设备
石油化工
精细化工
电化学
环境
SciFinder/Reaxys
我要订阅楼主
shixianbao
的主题更新
9
1/1
返回列表
如果回帖内容含有宣传信息,请如实选中。否则帐号将被全论坛禁言
普通表情
龙
兔
虎
猫
百度网盘
|
360云盘
|
千易网盘
|
华为网盘
在新窗口页面中打开自己喜欢的网盘网站,将文件上传后,然后将下载链接复制到帖子内容中就可以了。
信息提示
关闭
请填处理意见
关闭
确定