| ²é¿´: 1066 | »Ø¸´: 8 | ||
cat_and_fishÌú¸Ëľ³æ (ÕýʽдÊÖ)
|
[ÇóÖú]
ÇëÎʹØÓÚÖÊÆ×½âÎöÎÊÌ⣬лл
|
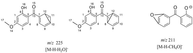
| ²»ºÃÒâ˼´òÈÅ´ó¼ÒÁË£¬Óиö¹ØÓÚÖÊÆ×½âÎöµÄÎÊÌ⣬²»ÖªµÀ¿ÉÒÔÂ𣿠ÓиöÎïÖÊC14H12O4£¬½á¹¹Ê½Çë¼û¸½¼þ£¬ESIÔ´¸ºÀë×Óģʽ£¬MS/MSÁѽâ³ö184ºÍ174£¨Í¼Çë¼û¸½¼þ£©£¬ÎÒ»²»³ö184ºÍ174¿ÉÄܵĽṹ£¬ÇëÎÊÓ¦¸ÃÊÇʲô±È½ÏºÏÀíÄØ£¬Íò·Ö¸Ðл¡£ |
» ±¾Ìû¸½¼þ×ÊÔ´Áбí
-
»¶Ó¼à¶½ºÍ·´À¡£ºÐ¡Ä¾³æ½öÌṩ½»Á÷ƽ̨£¬²»¶Ô¸ÃÄÚÈݸºÔð¡£
±¾ÄÚÈÝÓÉÓû§×ÔÖ÷·¢²¼£¬Èç¹ûÆäÄÚÈÝÉæ¼°µ½ÖªÊ¶²úȨÎÊÌ⣬ÆäÔðÈÎÔÚÓÚÓû§±¾ÈË£¬Èç¶Ô°æÈ¨ÓÐÒìÒ飬ÇëÁªÏµÓÊÏ䣺xiaomuchong@tal.com - ¸½¼þ 1 : ÎÊÌâ2.docx
2016-01-26 19:40:02, 110.27 K
» ²ÂÄãϲ»¶
Ò»Ö¾Ô¸±±¾©»¯¹¤´óѧ²ÄÁÏÓ뻯¹¤ 264·Ö¸÷¿Æ¹ýAÇø¹ú¼ÒÏß
ÒѾÓÐ6È˻ظ´
085600 ²ÄÁÏÓ뻯¹¤ 329·ÖÇóµ÷¼Á
ÒѾÓÐ9È˻ظ´
Ò»Ö¾Ô¸ÏÃÃÅ´óѧ»¯Ñ§Ñ§Ë¶307Çóµ÷¼Á
ÒѾÓÐ3È˻ظ´
315·ÖÇóµ÷¼Á
ÒѾÓÐ4È˻ظ´
»¯Ñ§µ÷¼ÁÒ»Ö¾Ô¸ÉϺ£½»Í¨´óѧ336·Ö-±¾¿ÆÉϺ£211
ÒѾÓÐ4È˻ظ´
×Ü·Ö293Çóµ÷¼Á
ÒѾÓÐ7È˻ظ´
»·¾³×¨Ë¶324·ÖÇóµ÷¼ÁÍÆ¼ö
ÒѾÓÐ3È˻ظ´
284Çóµ÷¼Á
ÒѾÓÐ3È˻ظ´
±±¾©ÁÖÒµ´óѧ˶µ¼ÕÐÉú¹ã¸æ
ÒѾÓÐ6È˻ظ´
0703»¯Ñ§/290Çóµ÷¼Á/±¾¿Æ¾Àú·á¸»/¹¤¿ÆÒ²¿É
ÒѾÓÐ3È˻ظ´
» ±¾Ö÷ÌâÏà¹Ø¼ÛÖµÌùÍÆ¼ö£¬¶ÔÄúͬÑùÓаïÖú:
ÇëÎʹØÓÚÖÊÆ×½âÎöÎÊÌâ
ÒѾÓÐ2È˻ظ´
Çë½ÌÁ½¸öÖÊÆ×µÄÎÊÌâ
ÒѾÓÐ11È˻ظ´
É걨Éú²ú³£¼ûÎÊ´ð--¹ú¼Ò¾Ö
ÒѾÓÐ37È˻ظ´
CDE¹²ÐÔÎÊÌâ½â´ð½â´ð20120725
ÒѾÓÐ26È˻ظ´
cat_and_fish
Ìú¸Ëľ³æ (ÕýʽдÊÖ)
| up |
2Â¥2016-01-27 09:53:57
wy19871124
гæ (Ö°Òµ×÷¼Ò)
ÖÊÆ×Ê×ϯ¹ËÎÊ
- ACI: 2
- Ó¦Öú: 551 (²©Ê¿)
- ½ð±Ò: 1607.6
- É¢½ð: 959
- ºì»¨: 183
- Ìû×Ó: 3052
- ÔÚÏß: 447.4Сʱ
- ³æºÅ: 1593016
- ×¢²á: 2012-01-31
- ÐÔ±ð: GG
- רҵ: ÖÊÆ×·ÖÎö
3Â¥2016-01-27 10:27:25
cat_and_fish
Ìú¸Ëľ³æ (ÕýʽдÊÖ)
- Ó¦Öú: 2 (Ó×¶ùÔ°)
- ½ð±Ò: 14374.4
- Ìû×Ó: 587
- ÔÚÏß: 883.2Сʱ
- ³æºÅ: 1946805
- ×¢²á: 2012-08-20
- רҵ: ÖÊÆ×·ÖÎö
4Â¥2016-01-28 09:12:55
wy19871124
гæ (Ö°Òµ×÷¼Ò)
ÖÊÆ×Ê×ϯ¹ËÎÊ
- ACI: 2
- Ó¦Öú: 551 (²©Ê¿)
- ½ð±Ò: 1607.6
- É¢½ð: 959
- ºì»¨: 183
- Ìû×Ó: 3052
- ÔÚÏß: 447.4Сʱ
- ³æºÅ: 1593016
- ×¢²á: 2012-01-31
- ÐÔ±ð: GG
- רҵ: ÖÊÆ×·ÖÎö
5Â¥2016-01-28 09:57:55
cat_and_fish
Ìú¸Ëľ³æ (ÕýʽдÊÖ)
- Ó¦Öú: 2 (Ó×¶ùÔ°)
- ½ð±Ò: 14374.4
- Ìû×Ó: 587
- ÔÚÏß: 883.2Сʱ
- ³æºÅ: 1946805
- ×¢²á: 2012-08-20
- רҵ: ÖÊÆ×·ÖÎö
6Â¥2016-01-28 15:53:34
wy19871124
гæ (Ö°Òµ×÷¼Ò)
ÖÊÆ×Ê×ϯ¹ËÎÊ
- ACI: 2
- Ó¦Öú: 551 (²©Ê¿)
- ½ð±Ò: 1607.6
- É¢½ð: 959
- ºì»¨: 183
- Ìû×Ó: 3052
- ÔÚÏß: 447.4Сʱ
- ³æºÅ: 1593016
- ×¢²á: 2012-01-31
- ÐÔ±ð: GG
- רҵ: ÖÊÆ×·ÖÎö
7Â¥2016-01-28 16:00:42
cat_and_fish
Ìú¸Ëľ³æ (ÕýʽдÊÖ)
- Ó¦Öú: 2 (Ó×¶ùÔ°)
- ½ð±Ò: 14374.4
- Ìû×Ó: 587
- ÔÚÏß: 883.2Сʱ
- ³æºÅ: 1946805
- ×¢²á: 2012-08-20
- רҵ: ÖÊÆ×·ÖÎö
8Â¥2016-01-28 17:03:09
cat_and_fish
Ìú¸Ëľ³æ (ÕýʽдÊÖ)
- Ó¦Öú: 2 (Ó×¶ùÔ°)
- ½ð±Ò: 14374.4
- Ìû×Ó: 587
- ÔÚÏß: 883.2Сʱ
- ³æºÅ: 1946805
- ×¢²á: 2012-08-20
- רҵ: ÖÊÆ×·ÖÎö
9Â¥2016-01-28 22:27:54













»Ø¸´´ËÂ¥