| 查看: 1894 | 回复: 7 | ||
[求助]
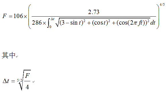
matlab中数值积分上限含有所求变量该怎么求解呢? 已有2人参与
|
||
|
|
||
|
2楼2016-06-14 08:30:16
|
|
|
peterflyer
|
||
|
3楼2016-06-14 09:21:31
|
|
|
dingd铁杆木虫 (职业作家)
|
【答案】应助回帖
★ ★ ★ ★ ★ ★ ★ ★ ★ ★
感谢参与,应助指数 +1 supergala: 金币+10, ★有帮助 2016-06-16 10:25:08
|
|
|
4楼2016-06-14 14:02:14
|
|
|
dingd铁杆木虫 (职业作家)
|
||
|
5楼2016-06-14 15:13:09
|
|
|
|
6楼2016-06-14 19:50:37
|
|
|
|
7楼2016-06-14 19:53:02
|
|
|
dingd铁杆木虫 (职业作家)
|
||
|
8楼2016-06-14 21:16:08
|
|













回复此楼
