| ²é¿´: 1656 | »Ø¸´: 8 | ||||
sxyztÌú¸Ëľ³æ (Ö°Òµ×÷¼Ò)
|
[ÇóÖú]
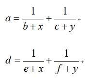
ÇóÒ»¸öÁ½Ôª·½³Ì×é ÒÑÓÐ2È˲ÎÓë
|
|||
|
|
||||
feixiaolinÈÙÓþ°æÖ÷ (ÎÄ̳¾«Ó¢)
|
||||
|
2Â¥2016-04-24 23:35:07
|
|
|||
Edstrayer°æÖ÷ (ÖøÃûдÊÖ)
·½´ç¶·ÊÒСÌìµØÕýÆøÃÔÂþ´óÊÀ½ç
|
||||
![]() |
||||
|
3Â¥2016-04-25 02:14:09
|
|
|||
sxyztÌú¸Ëľ³æ (Ö°Òµ×÷¼Ò)
|
||||
|
4Â¥2016-04-25 07:38:15
|
|
|||
wurongjunר¼Ò¹ËÎÊ (Ö°Òµ×÷¼Ò)
|
¡¾´ð°¸¡¿Ó¦Öú»ØÌû
¡ï ¡ï ¡ï ¡ï ¡ï ¡ï ¡ï ¡ï ¡ï ¡ï
¸Ðл²ÎÓ룬ӦÖúÖ¸Êý +1 sxyzt: ½ð±Ò+10, ¡ï¡ï¡ï¡ï¡ï×î¼Ñ´ð°¸ 2016-04-25 09:20:05
|
|||
![]() |
||||
|
5Â¥2016-04-25 08:00:25
|
|
|||
Mr__Rightר¼Ò¹ËÎÊ (ÖøÃûдÊÖ)
|
||||
![]() |
||||
|
6Â¥2016-04-25 09:09:56
|
|
|||
Mr__Rightר¼Ò¹ËÎÊ (ÖøÃûдÊÖ)
|
||||
![]() |
||||
|
7Â¥2016-04-25 09:11:45
|
|
|||
´óÀÁèÍõºÆ½ð³æ (ÖøÃûдÊÖ)
ѧÔü
|
||||
![]() |
||||
|
8Â¥2016-04-25 09:40:48
|
|
|||
wurongjunר¼Ò¹ËÎÊ (Ö°Òµ×÷¼Ò)
|
|
|||
![]() |
||||
|
9Â¥2016-04-25 16:46:06
|
|













»Ø¸´´ËÂ¥
