| 查看: 5380 | 回复: 24 | ||
| 当前只显示满足指定条件的回帖,点击这里查看本话题的所有回帖 | ||
[求助]
matlab求解二阶微分方程已有3人参与
|
||
|
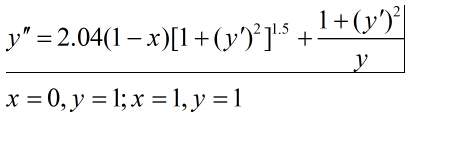
我想求解这样一个二阶微分方程(下图1),我使用了matlab边值函数,按着书上编写的程序如下(下图2),可为什么求不出来。提示错误:错误使用 bvp4c (line 251) 无法求解排列方程式 - 遇到了奇异性雅可比行列式。 有做过的大神帮忙给看看哪里出错了,不胜感激。 1.jpg 2.jpg |
» 本帖附件资源列表
-
欢迎监督和反馈:小木虫仅提供交流平台,不对该内容负责。
本内容由用户自主发布,如果其内容涉及到知识产权问题,其责任在于用户本人,如对版权有异议,请联系邮箱:xiaomuchong@tal.com - 附件 1 : 程序.m
2016-03-26 15:54:55, 561 bytes
» 猜你喜欢
三甲基碘化亚砜的氧化反应
已经有4人回复
请问下大家为什么这个铃木偶联几乎不反应呢
已经有5人回复
请问有评职称,把科研教学业绩算分排序的高校吗
已经有5人回复
孩子确诊有中度注意力缺陷
已经有12人回复
2025冷门绝学什么时候出结果
已经有3人回复
天津工业大学郑柳春团队欢迎化学化工、高分子化学或有机合成方向的博士生和硕士生加入
已经有4人回复
康复大学泰山学者周祺惠团队招收博士研究生
已经有6人回复
AI论文写作工具:是科研加速器还是学术作弊器?
已经有3人回复
论文投稿,期刊推荐
已经有4人回复
硕士和导师闹得不愉快
已经有13人回复

皓小天
木虫之王 (职业作家)
- 应助: 19 (小学生)
- 贵宾: 0.1
- 金币: 76016.6
- 散金: 502
- 红花: 137
- 帖子: 3801
- 在线: 869小时
- 虫号: 1864745
- 注册: 2012-06-19
- 性别: GG
- 专业: 力学中的基本问题和方法

21楼2016-05-05 10:54:54
cooooldog
铁杆木虫 (著名写手)
ส็็็
- 应助: 237 (大学生)
- 金币: 6101.9
- 散金: 1114
- 红花: 39
- 帖子: 1380
- 在线: 553.8小时
- 虫号: 506699
- 注册: 2008-02-18
- 专业: 模式识别

2楼2016-03-26 21:42:06
cooooldog
铁杆木虫 (著名写手)
ส็็็
- 应助: 237 (大学生)
- 金币: 6101.9
- 散金: 1114
- 红花: 39
- 帖子: 1380
- 在线: 553.8小时
- 虫号: 506699
- 注册: 2008-02-18
- 专业: 模式识别

3楼2016-03-27 09:43:21

4楼2016-03-27 11:14:56














回复此楼