| 查看: 1159 | 回复: 5 | |||
ggamis至尊木虫 (职业作家)
|
[求助]
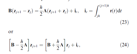
求教一个证明数值积分递推公式无条件稳定的问题 已有1人参与
|
||
|
|
|||
wurongjun专家顾问 (职业作家)
|
|||
![]() |
|||
|
2楼2016-03-11 09:56:29
|
|
||
ggamis至尊木虫 (职业作家)
|
|||
|
3楼2016-03-11 12:45:46
|
|
||
ggamis至尊木虫 (职业作家)
|
|||
|
4楼2016-03-11 12:48:42
|
|
||
wurongjun专家顾问 (职业作家)
|
|||
![]() |
|||
|
5楼2016-03-11 13:03:49
|
|
||
ggamis至尊木虫 (职业作家)
|
|||
|
6楼2016-03-11 13:27:53
|
|













回复此楼
ggamis
40