| 查看: 1054 | 回复: 5 | |||
[交流]
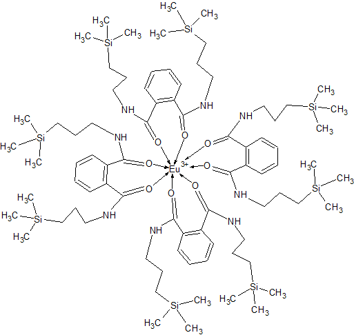
请各路大神看看这个配合物应当用什么软件画呢?我觉得gaussian好像不行已有3人参与
|
|
这是本人毕业设计老师给的课题,实在是太大了,再加上本人是模拟计算的新手所以在此请教大家应当用什么模拟比较好呢?新人金币不多在此恳请大家帮忙。 课题是《硅烷改性铕配合物结构与光谱的理论研究》 图片1.png |
» 猜你喜欢
有偿调查问卷,一元一份,有意请私我(不要豆包)
已经有1人回复
书籍求助:汽车市场营销理论与实务(电子版)——章小平
已经有0人回复
物理化学论文润色/翻译怎么收费?
已经有103人回复
求助ORCA计算单点能的输入输出文件
已经有0人回复
中教金源的流动池
已经有0人回复
RSC ADV状态问题
已经有4人回复
湖南大学招收锂离子电池、离子液体、高分子与凝胶材料、电催化方向博士生多名
已经有7人回复
南京大学蔡亮课题组诚招2026年申请-考核制博士生2-3名(电解水制氢,XAFS谱学等)
已经有32人回复
求助各位大佬配位化学学习教材!!!
已经有0人回复
大连海事大学国家级人才团队2026年博士研究生招生启事
已经有10人回复
内蒙古大学青年长江学者王蕾教授课题组2026年博士招聘,2-3人
已经有10人回复
» 本主题相关价值贴推荐,对您同样有帮助:
大三准备复旦高分子考研 求助攻
已经有1人回复
请各路神仙帮忙支招如下的酸胺反应,跪谢!!!!
已经有6人回复
| CAD |
2楼2016-03-07 14:29:23
cooooldog
铁杆木虫 (著名写手)
ส็็็
- 应助: 237 (大学生)
- 金币: 6101.9
- 散金: 1114
- 红花: 39
- 帖子: 1380
- 在线: 553.8小时
- 虫号: 506699
- 注册: 2008-02-18
- 专业: 模式识别

3楼2016-03-07 16:04:30
Woodeninsect
银虫 (正式写手)
- 应助: 23 (小学生)
- 金币: 868.8
- 红花: 9
- 帖子: 983
- 在线: 583.3小时
- 虫号: 1142878
- 注册: 2010-11-10
- 专业: 无机非金属类光电信息与功
★
小木虫: 金币+0.5, 给个红包,谢谢回帖
小木虫: 金币+0.5, 给个红包,谢谢回帖
|
个人感觉画这种具有重复配体的金属配合物,用hyperchem方便一些。画出一个配体,然后复制粘贴,进行移动和旋转,然后加氢成型,最后随便用一个MM跑一下,出来的结构就能过眼睛这一关。若用gaussview画,因为画的过程中就是立体的,很多原子都缠绕在一起了,最后用"扫把"扫一下,也不起什么作用。另外,用Gabedit画,感觉也不是很方便。 对于这种周期性结构的物质,不太清楚如何用PBC计算,但如果对于单个配合物分子的话,优化的时候可以先用MOPAC的Sparkle跑一下,然后再用其他方法计算,或者直接用高斯算,稀土采用大核或者小核赝势计算,一般用大核的多,计算快,容易收敛。 P.S. 楼上Si连的应该是氧原子,反应应该是羧酸和氨丙基三乙氧基硅烷反应,然后前驱体水解聚合的产物,配合物可以原位合成,制成含稀土配合物的第二类杂化材料。 |
4楼2016-03-07 19:02:06
Woodeninsect
银虫 (正式写手)
- 应助: 23 (小学生)
- 金币: 868.8
- 红花: 9
- 帖子: 983
- 在线: 583.3小时
- 虫号: 1142878
- 注册: 2010-11-10
- 专业: 无机非金属类光电信息与功
5楼2016-03-07 19:26:10
6楼2016-03-07 20:54:09













回复此楼
