版块导航
正在加载中...
客户端APP下载
论文辅导
调剂小程序
登录
注册
帖子
帖子
用户
本版
应《网络安全法》要求,自2017年10月1日起,未进行实名认证将不得使用互联网跟帖服务。为保障您的帐号能够正常使用,请尽快对帐号进行手机号验证,感谢您的理解与支持!
24小时热门版块排行榜
>
论坛更新日志
(2373)
>
导师招生
(115)
>
虫友互识
(79)
>
论文投稿
(43)
>
考博
(41)
>
文献求助
(39)
>
硕博家园
(36)
>
休闲灌水
(32)
>
博后之家
(23)
>
招聘信息布告栏
(22)
>
基金申请
(18)
>
教师之家
(16)
>
找工作
(15)
>
考研
(9)
>
公派出国
(8)
>
有机资源
(6)
小木虫论坛-学术科研互动平台
»
化学化工区
»
电化学
»
其它
»
能带结构 态密度 和费米能级
5
1/1
返回列表
查看: 1728 | 回复: 4
只看楼主
@他人
存档
新回复提醒
(忽略)
收藏
在APP中查看
zhy嘿哈
新虫
(小有名气)
应助: 0
(幼儿园)
金币: 102.9
散金: 750
红花: 2
帖子: 265
在线: 105.1小时
虫号: 3758421
注册: 2015-03-23
性别:
MM
专业: 电化学
[
求助
]
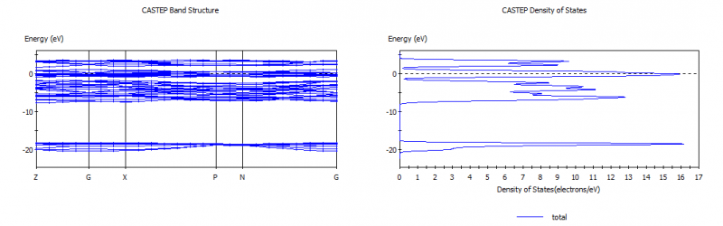
能带结构 态密度 和费米能级
已有1人参与
求助了 老师让用MS计算,算出了能带结构和态密度,但是费米能级怎么看
怎么分别比较下面这两张图的能带结构、态密度和费米能级呢
求助求助了 真的是不懂啊
Ptt.png
Ag.png
回复此楼
» 猜你喜欢
德国Karlsruhe Institute of Technology招收电化学储能及联合培养CSC博士
已经有24人回复
德国Karlsruhe Institute of Technology招收电化学储能及联合培养CSC博士
已经有1人回复
分析化学论文润色/翻译怎么收费?
已经有108人回复
固态锂金属电池迁移数计算求助
已经有1人回复
荷兰奈梅亨大学赵文博与Galimberti课题组招收理论计算CSC博士 2000 欧元/月+房补
已经有0人回复
26储能博士申请自荐
已经有23人回复
上海交通大学--宁波东方理工大学电池方向博士招生
已经有10人回复
海南大学全国重点实验室杨金霖老师招收储能电池方向博士生(2026年3月报名,9月入学)
已经有2人回复
海南师范大学2026年博士研究生招收 (在职想提升学历人员可报考) 申请考核制+普通招考
已经有1人回复
申博求助
已经有0人回复
JACS投稿
已经有0人回复
» 本主题相关价值贴推荐,对您同样有帮助:
为什么我算不出来Silicane的带隙???请各位前辈赐教
已经有16人回复
ST
已经有22人回复
如何分析第一原理计算的电子结构
已经有2人回复
本人初学第一性原理,一些个人总结与大家分享,欢迎大家前来批评指正,共同学习~~~~~
已经有31人回复
以石墨烯为例Pwscf计算态密度的详细步骤和要点
已经有11人回复
如何从能带结构和态密度分析钨酸铝导电性的大小?
已经有0人回复
dmol相关问题交流学习
已经有14人回复
关于硅能带图和态密度分析
已经有11人回复
【求助】关于费米能级
已经有13人回复
【求助】用castep计算掺杂AlN出了问题
已经有2人回复
【求助】关于MS软件中能带和态密度的计算问题
已经有8人回复
【求助】能带结构和态密度不对应为什么?
已经有3人回复
【求助】求助高手能带分析问题
已经有4人回复
【分享】关于态密度的一些好的分享
已经有14人回复
【交流】讨论一下关于费米面的问题
已经有2人回复
【求助】费米能级和stress and forces
已经有3人回复
【分享】量化软件 - 输运相关 (zz)
已经有13人回复
【分享】用VASP进行Partial Charge分析实例
已经有22人回复
1楼
2016-03-05 20:00:29
已阅
回复此楼
关注TA
给TA发消息
送TA红花
TA的回帖
wangqinchao
金虫
(小有名气)
应助: 9
(幼儿园)
金币: 497
散金: 120
红花: 1
帖子: 249
在线: 177.5小时
虫号: 1388677
注册: 2011-09-03
性别: GG
专业: 金属功能材料
你的图片太小了,根本就看不清楚啊,传清楚的图片
赞
一下
回复此楼
2楼
2016-03-06 13:28:55
已阅
回复此楼
关注TA
给TA发消息
送TA红花
TA的回帖
wangqinchao
金虫
(小有名气)
应助: 9
(幼儿园)
金币: 497
散金: 120
红花: 1
帖子: 249
在线: 177.5小时
虫号: 1388677
注册: 2011-09-03
性别: GG
专业: 金属功能材料
【答案】应助回帖
感谢参与,应助指数 +1
费米能级就看0那条横线就行了
赞
一下
回复此楼
3楼
2016-03-06 13:29:48
已阅
回复此楼
关注TA
给TA发消息
送TA红花
TA的回帖
zhy嘿哈
新虫
(小有名气)
应助: 0
(幼儿园)
金币: 102.9
散金: 750
红花: 2
帖子: 265
在线: 105.1小时
虫号: 3758421
注册: 2015-03-23
性别:
MM
专业: 电化学
引用回帖:
3楼
:
Originally posted by
wangqinchao
at 2016-03-06 13:29:48
费米能级就看0那条横线就行了
你知道怎么导出MS的数据吗
赞
一下
回复此楼
4楼
2016-03-06 20:32:08
已阅
回复此楼
关注TA
给TA发消息
送TA红花
TA的回帖
wangqinchao
金虫
(小有名气)
应助: 9
(幼儿园)
金币: 497
散金: 120
红花: 1
帖子: 249
在线: 177.5小时
虫号: 1388677
注册: 2011-09-03
性别: GG
专业: 金属功能材料
【答案】应助回帖
引用回帖:
4楼
:
Originally posted by
zhy嘿哈
at 2016-03-06 20:32:08
你知道怎么导出MS的数据吗...
MS导出来很简单,你找到你需要导出的那个图形,直接ctl+c复制,剪贴到excel或者origin里,做图就行
赞
一下
回复此楼
5楼
2016-05-19 10:54:52
已阅
回复此楼
关注TA
给TA发消息
送TA红花
TA的回帖
相关版块跳转
有机交流
有机资源
高分子
无机/物化
分析
催化
工艺技术
化工设备
石油化工
精细化工
电化学
环境
SciFinder/Reaxys
我要订阅楼主
zhy嘿哈
的主题更新
5
1/1
返回列表
如果回帖内容含有宣传信息,请如实选中。否则帐号将被全论坛禁言
普通表情
龙
兔
虎
猫
百度网盘
|
360云盘
|
千易网盘
|
华为网盘
在新窗口页面中打开自己喜欢的网盘网站,将文件上传后,然后将下载链接复制到帖子内容中就可以了。
信息提示
关闭
请填处理意见
关闭
确定