| 查看: 9539 | 回复: 7 | ||
超级小黄鸭捐助贵宾 (初入文坛)
|
[交流]
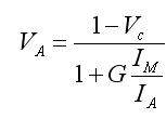
钢中残余奥氏体的或者马氏体的体积分率的计算 XRD Jade已有5人参与
|
hanhaixf-77
铁杆木虫 (著名写手)
- 应助: 9 (幼儿园)
- 金币: 6386.8
- 散金: 168
- 红花: 3
- 帖子: 1312
- 在线: 1174.1小时
- 虫号: 275939
- 注册: 2006-09-02
- 性别: GG
- 专业: 无机化学
2楼2016-02-04 10:00:24

3楼2018-09-18 14:59:42

4楼2018-09-18 16:11:34

5楼2018-09-19 09:29:10
1770308
新虫 (小有名气)
- 应助: 0 (幼儿园)
- 金币: 416.1
- 散金: 30
- 帖子: 144
- 在线: 29.3小时
- 虫号: 13260203
- 注册: 2018-12-24
- 性别: GG
- 专业: 金属结构材料
6楼2019-08-01 12:14:43
7楼2019-10-04 21:24:28
8楼2019-10-04 21:43:29














回复此楼

