| 查看: 1310 | 回复: 14 | ||
凌云志123金虫 (正式写手)
|
[求助]
界面结构分子动力学后的能带结构差异很大 已有2人参与
|
|
|
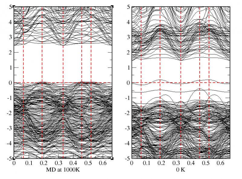
最近建了一个层状结构,计算在界面上掺杂后的能带结构,看掺杂对材料性质的影响,建好layer后,置换掺杂,计算的结果还比较理想,但是想看下加上温度后分子动力学一段时间后,在计算能带结构,结果两者差别很大,原有在掺杂后的中间带也没有了,不知道是什么原因,是因为结构变化太大?各位高手请指教>>>>> 一图是MD之后,二图是掺杂后静态 |
» 猜你喜欢
0856调剂,是学校就去
已经有9人回复
298-一志愿中国农业大学-求调剂
已经有9人回复
265求调剂
已经有7人回复
求调剂
已经有4人回复
学校已经提交到NSFC,还能修改吗?
已经有7人回复
材料学硕297已过四六级求调剂推荐
已经有6人回复
295复试调剂
已经有7人回复
本人考085602 化学工程 专硕
已经有20人回复
一志愿中南化学337求调剂
已经有5人回复
281求调剂(0805)
已经有23人回复
» 本主题相关商家推荐: (我也要在这里推广)
» 本主题相关价值贴推荐,对您同样有帮助:
MS模拟单个气体分子在孔道或者界面上的自由能应该用什么模块
已经有1人回复
国外材料计算研究进展[最新]
已经有17人回复
高分子合成原理及工艺学
已经有1445人回复
2010年昆明理工大学国家自然科学基金获批名单
已经有19人回复
【转帖】一些计算化学相关的免费的在线数据库、分子结构库及工具
已经有109人回复
【资源】*贡献一些经典的*高分子专业*的书本,一共28本电子书
已经有12人回复
凌云志123
金虫 (正式写手)
- 应助: 8 (幼儿园)
- 金币: 1203.9
- 散金: 454
- 红花: 6
- 帖子: 452
- 在线: 98.7小时
- 虫号: 2073907
- 注册: 2012-10-20
- 性别: GG
- 专业: 金属结构材料
5楼2016-01-19 16:36:58
13楼2016-01-22 14:19:50
凌云志123
金虫 (正式写手)
- 应助: 8 (幼儿园)
- 金币: 1203.9
- 散金: 454
- 红花: 6
- 帖子: 452
- 在线: 98.7小时
- 虫号: 2073907
- 注册: 2012-10-20
- 性别: GG
- 专业: 金属结构材料
2楼2016-01-18 09:40:13
fanqy1991
金虫 (著名写手)
- 应助: 32 (小学生)
- 金币: 7838.1
- 散金: 399
- 红花: 6
- 帖子: 1008
- 在线: 511.5小时
- 虫号: 1752732
- 注册: 2012-04-12
- 专业: 凝聚态物性 II :电子结构
3楼2016-01-19 01:59:57
magicmonk
至尊木虫 (著名写手)
- 应助: 172 (高中生)
- 金币: 11451.3
- 红花: 24
- 帖子: 1124
- 在线: 3108.8小时
- 虫号: 1191315
- 注册: 2011-01-17
- 专业: 理论和计算化学

4楼2016-01-19 12:09:23
凌云志123
金虫 (正式写手)
- 应助: 8 (幼儿园)
- 金币: 1203.9
- 散金: 454
- 红花: 6
- 帖子: 452
- 在线: 98.7小时
- 虫号: 2073907
- 注册: 2012-10-20
- 性别: GG
- 专业: 金属结构材料
6楼2016-01-19 16:41:28
fanqy1991
金虫 (著名写手)
- 应助: 32 (小学生)
- 金币: 7838.1
- 散金: 399
- 红花: 6
- 帖子: 1008
- 在线: 511.5小时
- 虫号: 1752732
- 注册: 2012-04-12
- 专业: 凝聚态物性 II :电子结构
7楼2016-01-19 16:49:33
magicmonk
至尊木虫 (著名写手)
- 应助: 172 (高中生)
- 金币: 11451.3
- 红花: 24
- 帖子: 1124
- 在线: 3108.8小时
- 虫号: 1191315
- 注册: 2011-01-17
- 专业: 理论和计算化学

8楼2016-01-19 20:32:22
凌云志123
金虫 (正式写手)
- 应助: 8 (幼儿园)
- 金币: 1203.9
- 散金: 454
- 红花: 6
- 帖子: 452
- 在线: 98.7小时
- 虫号: 2073907
- 注册: 2012-10-20
- 性别: GG
- 专业: 金属结构材料
9楼2016-01-20 16:46:52
10楼2016-01-21 18:18:36













回复此楼

谢谢您