| 查看: 1293 | 回复: 10 | |||
xuanshaoxie捐助贵宾 (小有名气)
|
[求助]
求助精修一个晶体 已有2人参与
|
||
|
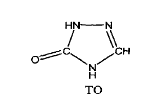
求助大神精修一个晶体: 金属盐是硝酸钴,配体是3,5-二硝基水杨酸和1,2,4-三唑-5-酮,溶剂用的水 http://pan.baidu.com/s/1jHoxGwQ 1,2,4-三唑-5-酮.png 3,5-二硝基水杨酸.png |
» 收录本帖的淘帖专辑推荐
晶体软件 |
» 猜你喜欢
中南大学易小艺课题组诚招2026申请-考核制博士生
已经有0人回复
海南师范大学招收化学博士(光电功能材料课题组招收博士研究生)
已经有10人回复
无机化学论文润色/翻译怎么收费?
已经有159人回复
求助几个团簇的cif
已经有0人回复
急求该反应的详细机理
已经有5人回复
【Ei | Scopus 双检索】2026年智能交通与未来出行国际会议(CSTFM 2026)
已经有0人回复
【EI|Scopus 双检索】2026年第六届机器人与人工智能国际会议(JCRAI 2026)
已经有0人回复
zotero的advanced material模板没有更新,有人有新版的cls文件吗
已经有2人回复
【高校联合举办】2026年第五届服务机器人国际会议(ICoSR 2026)
已经有0人回复
» 本主题相关价值贴推荐,对您同样有帮助:
求助精修一个晶体结构。。。
已经有2人回复
求助精修一个单核镍晶体的数据,消除B类错误。100金币感谢您的帮助!
已经有18人回复
求助高手精修一个晶体数据,好像有无序~~
已经有0人回复
求助高手精修一个晶体数据,好像有无序。
已经有8人回复
求助精修一个配位聚合物晶体数据,降低其goof值,期待文章能够顺利发表!
已经有2人回复
新手求助晶体精修,Rwp太大怎么办?
已经有2人回复
求助一个晶体的解析
已经有4人回复
求助晶体精修遇到的问题
已经有3人回复
求助:粉末晶体衍射数据精修晶体结构
已经有2人回复
急,晶体数据精修求助!!
已经有2人回复
【求助】解析晶体初结构有一个C原子无法精修出来
已经有1人回复
【求助】100金币求修一个晶体,主要结构已经出来了
已经有2人回复
【求助】请教高手精修一个晶体数据,188金币答谢真正修好的虫子!
已经有12人回复
【求助】100金币精修一晶体。急
已经有9人回复
【求助】求高手帮忙晶体精修
已经有7人回复
【求助】帮忙精修一个晶体结构
已经有4人回复
深山红叶2014
金虫 (小有名气)
- 应助: 2 (幼儿园)
- 金币: 2750.6
- 散金: 136
- 红花: 5
- 帖子: 231
- 在线: 75.2小时
- 虫号: 3296302
- 注册: 2014-06-28
- 性别: GG
- 专业: 无机材料化学

2楼2016-01-16 12:52:47
xuanshaoxie
捐助贵宾 (小有名气)
- 应助: 0 (幼儿园)
- 金币: 95
- 散金: 20
- 红花: 1
- 帖子: 61
- 在线: 27.4小时
- 虫号: 3548126
- 注册: 2014-11-20
- 专业: 配位化学
3楼2016-01-16 16:06:31
深山红叶2014
金虫 (小有名气)
- 应助: 2 (幼儿园)
- 金币: 2750.6
- 散金: 136
- 红花: 5
- 帖子: 231
- 在线: 75.2小时
- 虫号: 3296302
- 注册: 2014-06-28
- 性别: GG
- 专业: 无机材料化学
【答案】应助回帖
★ ★ ★ ★ ★ ★ ★ ★ ★ ★ ★ ★ ★ ★ ★ ★ ★ ★ ★ ★ ★ ★ ★ ★ ★ ★ ★ ★ ★ ★ ★ ★ ★ ★ ★ ★ ★ ★ ★ ★ ★ ★ ★ ★ ★ ★ ★ ★ ★ ★
感谢参与,应助指数 +1
xuanshaoxie: 金币+50, ★★★很有帮助, 谢谢 2016-01-17 13:05:22
感谢参与,应助指数 +1
xuanshaoxie: 金币+50, ★★★很有帮助, 谢谢 2016-01-17 13:05:22

4楼2016-01-16 16:59:09
匿名
用户注销 (知名作家)
精修问题可私信
- CMEI: 2
- 应助: 2712 (讲师)
- 贵宾: 0.836
- 金币: 38475.5
- 散金: 1801
- 红花: 400
- 帖子: 5825
- 在线: 1932.4小时
- 虫号: 0
- 注册: 2008-10-05
- 性别: GG
- 专业: 药物分析
- 管辖: 晶体
★ ★ ★ ★ ★ ★ ★ ★ ★ ★ ★ ★ ★ ★ ★ ★ ★ ★ ★ ★ ★ ★ ★ ★ ★ ★ ★ ★ ★ ★ ★ ★ ★ ★ ★ ★ ★ ★ ★ ★ ★ ★ ★ ★ ★ ★ ★ ★ ★ ★
感谢参与,应助指数 +1
xuanshaoxie: 金币+50, ★★★很有帮助, 求解~ 2016-01-17 13:06:22
感谢参与,应助指数 +1
xuanshaoxie: 金币+50, ★★★很有帮助, 求解~ 2016-01-17 13:06:22
5楼2016-01-16 17:35:39
深山红叶2014
金虫 (小有名气)
- 应助: 2 (幼儿园)
- 金币: 2750.6
- 散金: 136
- 红花: 5
- 帖子: 231
- 在线: 75.2小时
- 虫号: 3296302
- 注册: 2014-06-28
- 性别: GG
- 专业: 无机材料化学

6楼2016-01-18 13:48:09
匿名
用户注销 (知名作家)
精修问题可私信
- CMEI: 2
- 应助: 2712 (讲师)
- 贵宾: 0.836
- 金币: 38475.5
- 散金: 1801
- 红花: 400
- 帖子: 5825
- 在线: 1932.4小时
- 虫号: 0
- 注册: 2008-10-05
- 性别: GG
- 专业: 药物分析
- 管辖: 晶体
7楼2016-01-18 13:49:35
xuanshaoxie
捐助贵宾 (小有名气)
- 应助: 0 (幼儿园)
- 金币: 95
- 散金: 20
- 红花: 1
- 帖子: 61
- 在线: 27.4小时
- 虫号: 3548126
- 注册: 2014-11-20
- 专业: 配位化学
8楼2016-01-18 15:55:35
xuanshaoxie
捐助贵宾 (小有名气)
- 应助: 0 (幼儿园)
- 金币: 95
- 散金: 20
- 红花: 1
- 帖子: 61
- 在线: 27.4小时
- 虫号: 3548126
- 注册: 2014-11-20
- 专业: 配位化学
9楼2016-01-18 16:04:44
10楼2016-01-19 13:12:48













回复此楼
